| 查看: 508 | 回复: 4 | ||
xiaomeidai87新虫 (初入文坛)
|
[求助]
配合物纯化 已有1人参与
|
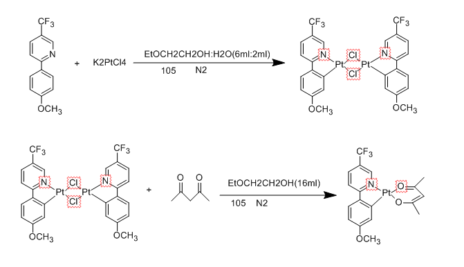
| 最近在合成配合物(如下图),已经实验多次,每次点板均有产品生成,且配合物呈荧黄色,配合物用石油醚:乙酸乙酯=10:1 跑板 有一部分能跑起来 Rf=0.6 左右,有一部分跑步起来 在原点, 用石油醚:二氯甲烷=1:1 爬板 配合物跑在最前面 Rf=0.8 左右,配合物在石油醚 乙酸乙酯体系溶解性不好,在二氯甲烷中溶解性好,过柱先用石油醚 冲杂质,会有一部分配合物跟着下来,,不纯,后面换石油醚:二氯=1:1 过柱,产品会全部下来,但是会有好多红色的杂质,产品也不纯,产率好低。不知道是产品本来就少 还是过柱有问题 ,每次得的产品都很少,合成步骤如下,求大神指点一下 ,我想用重结晶纯化产物, 有没有什么好的方法,请赐教,谢谢! |
» 猜你喜欢
299求调剂
已经有8人回复
一志愿北京理工大学本科211材料工程294求调剂
已经有6人回复
300求调剂,材料科学英一数二
已经有8人回复
招收生物学/细胞生物学调剂
已经有5人回复
070305高分子化学与物理 304分求调剂
已经有7人回复
289求调剂
已经有13人回复
一志愿哈尔滨工业大学材料与化工方向336分
已经有9人回复
081200-11408-276学硕求调剂
已经有6人回复
调剂求院校招收
已经有5人回复
调剂310
已经有8人回复
2楼2016-03-15 12:11:18
ado5686
金虫 (正式写手)
大将军
- 应助: 5 (幼儿园)
- 金币: 1110.3
- 散金: 68
- 红花: 1
- 帖子: 449
- 在线: 111.8小时
- 虫号: 1285096
- 注册: 2011-05-04
- 性别: GG
- 专业: 有机合成

3楼2016-03-15 14:21:48
xiaomeidai87
新虫 (初入文坛)
- 应助: 0 (幼儿园)
- 金币: 193.3
- 散金: 30
- 帖子: 41
- 在线: 19.9小时
- 虫号: 2583344
- 注册: 2013-08-06
- 专业: 化工系统工程
4楼2016-03-15 20:08:09
xiaomeidai87
新虫 (初入文坛)
- 应助: 0 (幼儿园)
- 金币: 193.3
- 散金: 30
- 帖子: 41
- 在线: 19.9小时
- 虫号: 2583344
- 注册: 2013-08-06
- 专业: 化工系统工程
5楼2016-03-15 20:08:32














回复此楼