24小时热门版块排行榜    

查看: 265  |  回复: 0

东电小吴

铁虫 (初入文坛)

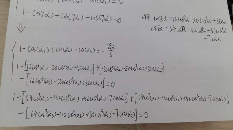
[求助] 在三元高次函数求解这里不太懂,请大家帮忙

公式代换到了这一步不会做了,用matlab如何计算,请大神相救

在三元高次函数求解这里不太懂,请大家帮忙
三个方程三个未知量.jpg
回复此楼

» 猜你喜欢

已阅   回复此楼   关注TA 给TA发消息 送TA红花 TA的回帖
相关版块跳转 我要订阅楼主 东电小吴 的主题更新
最具人气热帖推荐 [查看全部] 作者 回/看 最后发表
[考研] 295材料求调剂,一志愿武汉理工085601专硕 +5 Charlieyq 2026-03-19 5/250 2026-03-20 20:35 by JourneyLucky
[考研] 317求调剂 +6 申子申申 2026-03-19 11/550 2026-03-20 20:07 by zhukairuo
[考研] 261求B区调剂,科研经历丰富 +3 牛奶很忙 2026-03-20 4/200 2026-03-20 19:34 by JourneyLucky
[考研] 299求调剂 +3 shxchem 2026-03-20 4/200 2026-03-20 19:23 by zhukairuo
[考研] 22408 344分 求调剂 一志愿 华电计算机技术 +3 solanXXX 2026-03-20 3/150 2026-03-20 16:41 by fxue1114
[考研] 317求调剂 +4 申子申申 2026-03-19 8/400 2026-03-20 11:20 by 申子申申
[考研] 一志愿苏州大学材料求调剂,总分315(英一) +3 sbdksD 2026-03-19 3/150 2026-03-19 23:21 by fmesaito
[考研] 294求调剂材料与化工专硕 +14 陌の森林 2026-03-18 14/700 2026-03-19 22:38 by 学员8dgXkO
[考博] 申博26年 +3 八6八68 2026-03-19 3/150 2026-03-19 19:43 by nxgogo
[考研] 085601材料工程专硕求调剂 +10 慕寒mio 2026-03-16 10/500 2026-03-19 15:26 by 丁丁*
[考研] 286求调剂 +6 lemonzzn 2026-03-16 10/500 2026-03-19 14:31 by lemonzzn
[考研] 0703化学调剂 +5 pupcoco 2026-03-17 8/400 2026-03-19 13:58 by houyaoxu
[考研] 0703化学 305求调剂 +4 FY_yy 2026-03-14 4/200 2026-03-19 05:54 by anny19840123
[考研] 070300化学319求调剂 +6 锦鲤0909 2026-03-17 6/300 2026-03-18 13:22 by Iveryant
[考研] 312求调剂 +8 陌宸希 2026-03-16 9/450 2026-03-18 12:39 by Linda Hu
[考研] 302求调剂 +4 小贾同学123 2026-03-15 8/400 2026-03-17 10:33 by 小贾同学123
[考研] 药学383 求调剂 +3 药学chy 2026-03-15 4/200 2026-03-16 20:51 by 元子^0^
[考研] 070300化学学硕求调剂 +6 太想进步了0608 2026-03-16 6/300 2026-03-16 16:13 by kykm678
[考研] 求老师收留调剂 +4 jiang姜66 2026-03-14 5/250 2026-03-15 20:11 by Winj1e
[考研] 一志愿哈工大材料324分求调剂 +5 闫旭东 2026-03-14 5/250 2026-03-14 14:53 by 木瓜膏
信息提示
请填处理意见