Znn3bq.jpeg
²é¿´: 529  |  »Ø¸´: 0

ÄßÉÜÃç

гæ (³õÈëÎÄ̳)

[ÇóÖú] ÇóÖú´óÉñ°ïæ½â´ðÏ£¬Ð¡µÜÄÑסÁË£¡£¡¹òл£¡£¡

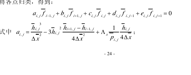
ÇóÖú´óÉñ°ïæ½â´ðÏ£¬Ð¡µÜÄÑסÁË£¡£¡¹òл£¡£¡

ÇóÖú´óÉñ°ïæ½â´ðÏ£¬Ð¡µÜÄÑסÁË£¡£¡¹òл£¡£¡
)`9X}3YN1~1I_T4R@}PK8@9.png


ÇóÖú´óÉñ°ïæ½â´ðÏ£¬Ð¡µÜÄÑסÁË£¡£¡¹òл£¡£¡-1
_O%]6{B0A%%{TXVCEPER~W7.png
»Ø¸´´ËÂ¥

» ²ÂÄãϲ»¶

ÒÑÔÄ   »Ø¸´´ËÂ¥   ¹Ø×¢TA ¸øTA·¢ÏûÏ¢ ËÍTAºì»¨ TAµÄ»ØÌû
Ïà¹Ø°æ¿éÌø×ª ÎÒÒª¶©ÔÄÂ¥Ö÷ ÄßÉÜÃç µÄÖ÷Ìâ¸üÐÂ
×î¾ßÈËÆøÈÈÌûÍÆ¼ö [²é¿´È«²¿] ×÷Õß »Ø/¿´ ×îºó·¢±í
[¿¼ÑÐ] 297¹¤¿Æ£¬Çóµ÷¼Á? +10 ºÓÄÏũҵ´óѧ-ÄÜ 2026-04-12 10/500 2026-04-12 22:44 by lbsjt
[¿¼ÑÐ] 086000µ÷¼Á +6 Ê®Æßsa 2026-04-07 6/300 2026-04-12 11:05 by ´óÁ¦Ë®ÊÖÁ¦´óÎÞÇ
[¿¼ÑÐ] 286Çóµ÷¼Á +26 Faune 2026-04-06 26/1300 2026-04-12 10:24 by lhj2009
[¿¼ÑÐ] µ÷¼Á +10 ÔÂ@163.com 2026-04-11 10/500 2026-04-12 09:14 by zhouyuwinner
[¿¼ÑÐ] 305Çóµ÷¼Á +7 Â꿨°Í¿¨boom 2026-04-11 7/350 2026-04-12 07:35 by zhouxiaoyu
[¿¼ÑÐ] 269Çóµ÷¼Á +11 °¡°¡ÎÒÎÒ 2026-04-07 11/550 2026-04-11 16:45 by vgtyfty
[¿¼ÑÐ] »¯¹¤Çóµ÷¼Á£¡ +35 RichLi_ 2026-04-06 35/1750 2026-04-11 11:02 by zhq0425
[¿¼ÑÐ] Çóµ÷¼Á +13 Ñ©·ê¶¬ 2026-04-10 13/650 2026-04-11 09:58 by Öí»á·É
[¿¼ÑÐ] 311Çóµ÷¼Á +13 xypÏë¶ÁÊé 2026-04-10 14/700 2026-04-11 09:41 by Öí»á·É
[¿¼ÑÐ] 282£¬Çóµ÷¼Á +12 jggshjkkm 2026-04-09 14/700 2026-04-11 09:39 by Öí»á·É
[¿¼ÑÐ] ²ÄÁÏÓ뻯¹¤µ÷¼Á +12 ·ñ¼«Ì©À´2026 2026-04-10 13/650 2026-04-11 00:28 by wangjihu
[¿¼ÑÐ] 266Çóµ÷¼Á +29 ÑôÑôÍÛÈû 2026-04-07 29/1450 2026-04-10 16:20 by ¸ßά´º
[¿¼ÑÐ] 293µ÷¼Á +25 yj1221 2026-04-08 26/1300 2026-04-10 15:02 by ²ñС°×
[¿¼ÑÐ] ²ÄÁϸ´ÊÔÇóµ÷¼Á +20 xhhdjdjsjks 2026-04-09 20/1000 2026-04-10 10:25 by ËïСС12457
[¿¼ÑÐ] һ־Ը³¶«´óѧ071000ÉúÎïѧѧ˶³õÊÔ·ÖÊý276Çóµ÷¼Á +20 Ľ¾øcc 2026-04-09 24/1200 2026-04-10 10:22 by xujun0624
[¿¼ÑÐ] ¸´ÊÔµ÷¼Á£¬Ò»Ö¾Ô¸Ö£ÖÝ´óѧ²ÄÁÏÓ뻯¹¤289·Ö +31 ˶ÐǸ° 2026-04-08 31/1550 2026-04-09 16:54 by Delta2012
[¿¼ÑÐ] ²ÄÁÏÓ뻯¹¤×¨Ë¶306·ÖÕÒºÏÊʵ÷¼Á +27 ²×º£ÇáÖÛe 2026-04-06 28/1400 2026-04-08 22:06 by wdyheheeh
[¿¼ÑÐ] ±¾¿ÆÉúÎïÐÅϢѧ£¬×Ü·Ö362 Çó07 08µ÷¼Á +6 qСٻ1210 2026-04-06 6/300 2026-04-07 19:40 by macy2011
[¿¼ÑÐ] 22408 318·ÖÇóµ÷¼Á +4 ÇڷܵÄСÁý°ü 2026-04-06 6/300 2026-04-07 15:05 by Ö½º×555
[¿¼ÑÐ] 085100½¨Öþѧ ѰÇó¿çרҵµ÷¼Á Ò»Ö¾Ô¸ÄÏ´ó294·Ö У¼¶Ê¡¼¶¹ú¼Ò¼¶½±ÏîÈô¸É ̤ʵ¿Ï¸É +3 1021075758 2026-04-06 4/200 2026-04-07 09:23 by À¶ÔÆË¼Óê
ÐÅÏ¢Ìáʾ
ÇëÌî´¦ÀíÒâ¼û