| 查看: 1267 | 回复: 5 | ||
kevin779金虫 (著名写手)
|
[求助]
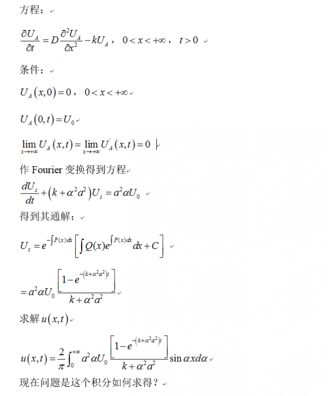
Fourier变化之后,逆变换的积分如何进行积分求指教~~~比较急,在线等~~谢谢~~
|
|
![]() |
||
|
|
||
|
2楼2016-05-04 09:26:42
|
|
|
gold2007捐助贵宾 (正式写手)
|
||
|
3楼2016-05-04 22:07:43
|
|
|
kevin779金虫 (著名写手)
|
||
![]() |
||
|
4楼2016-05-05 09:10:58
|
|
|
gold2007捐助贵宾 (正式写手)
|
» 本帖已获得的红花(最新10朵) |
|
|
5楼2016-05-05 17:34:46
|
|
|
kevin779金虫 (著名写手)
|
||
![]() |
||
|
6楼2016-05-05 23:46:15
|
|














回复此楼
kevin779