| ²é¿´: 753 | »Ø¸´: 1 | ||
zuoguifu305ľ³æ (СÓÐÃûÆø)
|
[ÇóÖú]
ôÇ»ùÁ×»Òʯ¾§ÌåÑÜÉä±ê¶¨
|
|
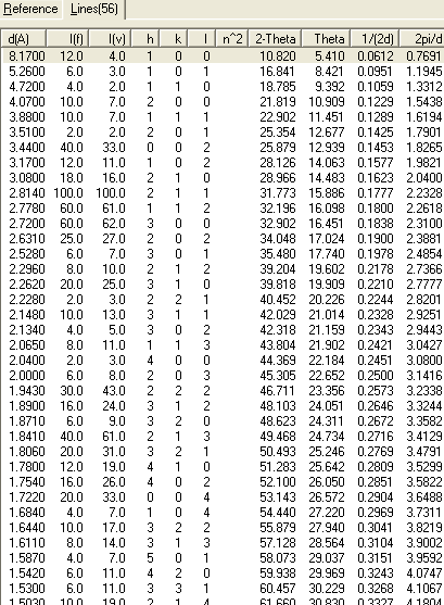
¸½¼þÉÏ´«ÁËÁ½ÕÅͼƬ£¬1ÊÇÑ¡Çøµç×ÓÑÜÉ䣬2ÊÇXRDÊý¾Ý£¬Çë´óÅ£°ïæ±ê¶¨Ò»Ï£¬·Ç³£¸Ð¼¤¡£ PS£ºÎÒ×öµÄÊÇÒ»ÖÖÆ¬×´µÄôÇ»ùÁ×»Òʯ£¨HAp£©£¬ÑÜÉäÊÇѡȡµÄHApƬ±íÃæ¡£ yanshe.png XRD.png |
» ²ÂÄãϲ»¶
¼ÃÄÏ´óѧ¹ú¼ÒÓÅÇà¿ÎÌâ×é 2026 µ÷¼ÁÕÐÉúÀ´À²
ÒѾÓÐ0È˻ظ´
Î人·ÄÖ¯´óѧ_»¯Ñ§Ôº¹Ù·½µ÷¼ÁȺ-ԺʿÍŶÓÕÐÉú-ѧÉú×ÔÓɶȸ߷¢Õ¹ºÃ-»¶Ó¸÷λͬѧ
ÒѾÓÐ0È˻ظ´
ÎÞ»ú»¯Ñ§ÂÛÎÄÈóÉ«/·ÒëÔõôÊÕ·Ñ?
ÒѾÓÐ158È˻ظ´
Î÷»ª´óѧ »¯Ñ§ µ÷¼ÁÓÐÃû¶î
ÒѾÓÐ0È˻ظ´
ÉϺ£Ó¦Óü¼Êõ´óѧÕÐÉúµ÷¼ÁÑо¿Éú
ÒѾÓÐ8È˻ظ´
ÄϾ©ÏþׯѧԺÂÌÉ«ÄÜÔ´²ÄÁÏÍŶÓÕÐÉú
ÒѾÓÐ0È˻ظ´
ÄϾ©ÏþׯѧԺÂÌÉ«ÄÜÔ´²ÄÁÏÍŶÓÕÐÉú
ÒѾÓÐ0È˻ظ´
±±·½¹¤Òµ´óѧ´¢Äܼ¼Êõ-02µç»¯Ñ§´¢ÄÜÓëÇâÄÜ·½ÏòÕÐÊÕ2026¼¶¶þ´Îµ÷¼ÁѧÉú
ÒѾÓÐ0È˻ظ´
»À»ÀµÄβ°Í?
гæ (ÖøÃûдÊÖ)
- Ó¦Öú: 0 (Ó×¶ùÔ°)
- ½ð±Ò: 1350.1
- É¢½ð: 1178
- ºì»¨: 3
- ɳ·¢: 1
- Ìû×Ó: 1334
- ÔÚÏß: 76.8Сʱ
- ³æºÅ: 5310225
- ×¢²á: 2016-12-02
- ÐÔ±ð: GG
- רҵ: ¸ß·Ö×Ó²ÄÁϵļӹ¤Óë³ÉÐÍ
2Â¥2018-12-27 00:02:59














»Ø¸´´ËÂ¥
ÏÖÔÚÖªµÀÔõô½âÊÍÁËÂð