| 查看: 1209 | 回复: 2 | |||
[求助]
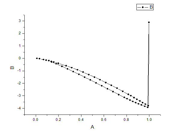
N2吸附等温线 做出来是负值已有2人参与
|
zyhou
专家顾问 (文坛精英)
-

专家经验: +3748 - C-EPI: 74
- 应助: 4970 (副教授)
- 贵宾: 2.947
- 金币: 39091.7
- 散金: 14624
- 红花: 415
- 帖子: 10637
- 在线: 2545.6小时
- 虫号: 373328
- 注册: 2007-05-16
- 性别: GG
- 专业: 催化化学
- 管辖: 催化
2楼2016-03-09 15:02:21
3楼2016-03-10 07:50:26













回复此楼