| 查看: 287 | 回复: 1 | |
警崽金虫 (正式写手)
教主
|
[求助]
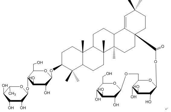
化合物命名
|
![]() |
|
|
|
|
知識無價铁杆木虫 (著名写手)
|
|
|
2楼2016-03-09 20:23:01
|
|














回复此楼