| ²é¿´: 3461 | »Ø¸´: 11 | ||
²ÄÁÏ_СÌïгæ (СÓÐÃûÆø)
|
[ÇóÖú]
²â×ÏÍâ¿É¼ûÎüÊÕʱ£¬Ï¡ÊÍÈÜÒººóÎüÊÕ·å»á·¢ÉúÒÆ¶¯Âð ÒÑÓÐ2È˲ÎÓë
|
|
|
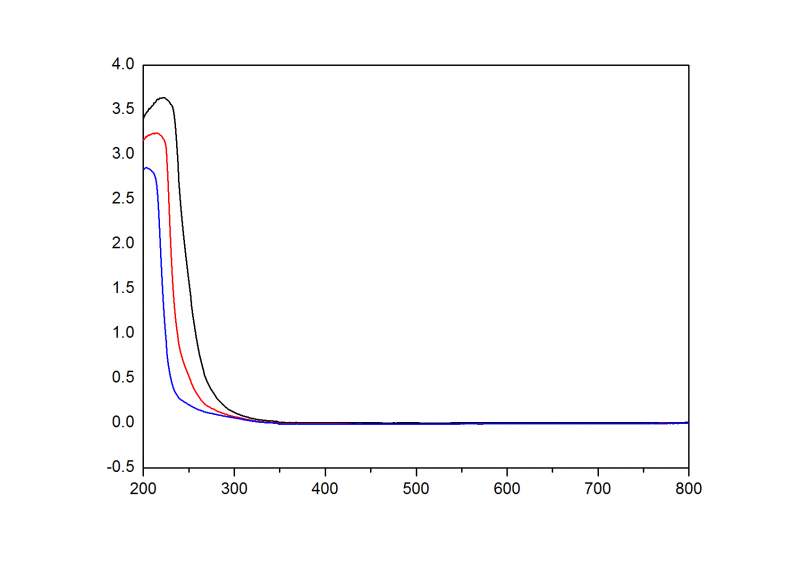
ÈçÌ⣬ÎÒ²âµÃÊǶþ¼×°·µÄË®ÈÜÒº£¬Å¨¶È±È½Ï¸ßµÄʱºò240nm×óÓÒÓиöÎüÊշ壬ÎüÊÕºóÕâ¸ö·å»áÏò¶Ì²¨³¤Òƶ¯£¬ÔÚÏ¡Êͺó¾ÍûÓзåÁË ÈÜҺϡÊÍ.jpg |
» ²ÂÄãϲ»¶
²ÄÁÏ¿ÆÑ§Ó빤³ÌÇóµ÷¼Á
ÒѾÓÐ5È˻ظ´
Ò»Ö¾Ô¸±±¾©»¯¹¤´óѧ²ÄÁÏÓ뻯¹¤£¨085600£©296Çóµ÷¼Á
ÒѾÓÐ17È˻ظ´
¿¼Ñе÷¼Á
ÒѾÓÐ7È˻ظ´
343Çóµ÷¼Á085601
ÒѾÓÐ3È˻ظ´
08¹¤¿ÆÇóµ÷¼Á286
ÒѾÓÐ3È˻ظ´
337Çóµ÷¼Á
ÒѾÓÐ3È˻ظ´
329Çóµ÷¼Á£¬Ò»Ö¾Ô¸Î÷±±¹¤Òµ´óѧ£¬²ÄÁϹ¤³Ì£¨085601£©
ÒѾÓÐ10È˻ظ´
291Çóµ÷¼Á
ÒѾÓÐ6È˻ظ´
299Çóµ÷¼Á
ÒѾÓÐ10È˻ظ´
ÃæÉÏ5BÄÜÉÏ»áÂð£¿
ÒѾÓÐ4È˻ظ´
superceng
ÖÁ×ðľ³æ (ÎÄ̳¾«Ó¢)
Ÿoëp¤ÎÃÍŒ¢
- Ó¦Öú: 83 (³õÖÐÉú)
- ½ð±Ò: 48762.5
- ºì»¨: 52
- Ìû×Ó: 13902
- ÔÚÏß: 11784.5Сʱ
- ³æºÅ: 319898
- ×¢²á: 2007-03-09
- ÐÔ±ð: GG
- רҵ: ¹¦ÄÜÓëÖÇÄܸ߷Ö×Ó

4Â¥2016-03-08 19:10:45
ÆæÑ©·ÉÑï
Òø³æ (СÓÐÃûÆø)
- Ó¦Öú: 1 (Ó×¶ùÔ°)
- ½ð±Ò: 507.9
- Ìû×Ó: 106
- ÔÚÏß: 57.8Сʱ
- ³æºÅ: 2149349
- ×¢²á: 2012-11-26
- רҵ: ¹¦ÄÜÓëÖÇÄܸ߷Ö×Ó
5Â¥2016-03-08 20:23:29
robot473
ͳæ (³õÈëÎÄ̳)
- Ó¦Öú: 0 (Ó×¶ùÔ°)
- ½ð±Ò: 123.2
- Ìû×Ó: 29
- ÔÚÏß: 6.3Сʱ
- ³æºÅ: 4275245
- ×¢²á: 2015-12-08
- ÐÔ±ð: GG
- רҵ: Óлú»¯¹¤
6Â¥2016-03-08 22:16:50
²ÄÁÏ_СÌï
гæ (СÓÐÃûÆø)
- Ó¦Öú: 0 (Ó×¶ùÔ°)
- ½ð±Ò: 29.8
- Ìû×Ó: 131
- ÔÚÏß: 43.5Сʱ
- ³æºÅ: 3097015
- ×¢²á: 2014-03-28
2Â¥2016-03-08 16:21:31
²ÄÁÏ_СÌï
гæ (СÓÐÃûÆø)
- Ó¦Öú: 0 (Ó×¶ùÔ°)
- ½ð±Ò: 29.8
- Ìû×Ó: 131
- ÔÚÏß: 43.5Сʱ
- ³æºÅ: 3097015
- ×¢²á: 2014-03-28
3Â¥2016-03-08 19:05:40
²ÄÁÏ_СÌï
гæ (СÓÐÃûÆø)
- Ó¦Öú: 0 (Ó×¶ùÔ°)
- ½ð±Ò: 29.8
- Ìû×Ó: 131
- ÔÚÏß: 43.5Сʱ
- ³æºÅ: 3097015
- ×¢²á: 2014-03-28
7Â¥2016-03-08 23:35:45
jdsuncb
½ð³æ (ÖøÃûдÊÖ)
- Ó¦Öú: 4 (Ó×¶ùÔ°)
- ½ð±Ò: 3228.4
- É¢½ð: 436
- ºì»¨: 8
- Ìû×Ó: 1805
- ÔÚÏß: 575.7Сʱ
- ³æºÅ: 2048946
- ×¢²á: 2012-10-08
- ÐÔ±ð: GG
- רҵ: ÓîÖæÑ§
8Â¥2016-03-08 23:47:37
²ÄÁÏ_СÌï
гæ (СÓÐÃûÆø)
- Ó¦Öú: 0 (Ó×¶ùÔ°)
- ½ð±Ò: 29.8
- Ìû×Ó: 131
- ÔÚÏß: 43.5Сʱ
- ³æºÅ: 3097015
- ×¢²á: 2014-03-28
9Â¥2016-03-08 23:47:53
²ÄÁÏ_СÌï
гæ (СÓÐÃûÆø)
- Ó¦Öú: 0 (Ó×¶ùÔ°)
- ½ð±Ò: 29.8
- Ìû×Ó: 131
- ÔÚÏß: 43.5Сʱ
- ³æºÅ: 3097015
- ×¢²á: 2014-03-28
10Â¥2016-03-08 23:49:10














»Ø¸´´ËÂ¥