| 查看: 3556 | 回复: 12 | |
| 当前只显示满足指定条件的回帖,点击这里查看本话题的所有回帖 | |
[求助]
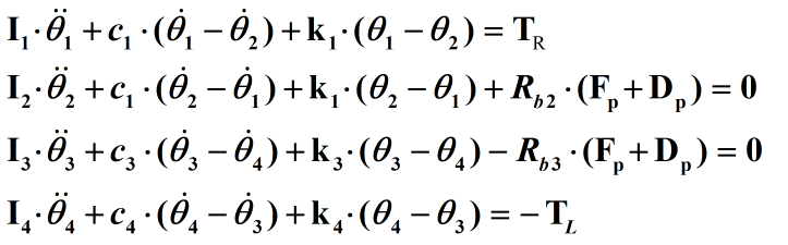
非线性问题,扭转振动方程matlab求解 已有1人参与
|
|
|
|
|
匿名用户注销 (小有名气)
|
|
|
13楼2018-03-11 13:03:17
|
|
| 查看全部 13 个回答 | |
|
3楼2016-03-09 14:28:19
|
|
匿名用户注销 (小有名气)
|
|
|
4楼2016-03-09 18:58:35
|
|
匿名用户注销 (小有名气)
|
|
|
5楼2016-03-09 19:01:27
|
|














回复此楼