| 查看: 420 | 回复: 1 | ||
cacarote01新虫 (初入文坛)
|
[求助]
接触张量分析遇到的问题
|
|
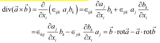
本人由于正在学习断裂力学,所以需要接触一点张量分析的知识,遇到了一个问题: 散度和旋度那部分,有个公式如图1所示。当时看来挺对的,但后来我想到,向量a和向量b叉乘,结果应该也是一个向量,包含一个单位矢量,如图2所示。 但是图1给出的推导却没有出现这个,不过也得出了正确结果。所以想请教各位前辈,如果按图2的表达式来,应该怎样推导? 图1.png 图2.png |
» 猜你喜欢
请问哪里可以有青B申请的本子可以借鉴一下。
已经有3人回复
真诚求助:手里的省社科项目结项要求主持人一篇中文核心,有什么渠道能发核心吗
已经有3人回复
孩子确诊有中度注意力缺陷
已经有14人回复
三甲基碘化亚砜的氧化反应
已经有4人回复
请问下大家为什么这个铃木偶联几乎不反应呢
已经有5人回复
请问有评职称,把科研教学业绩算分排序的高校吗
已经有5人回复
2025冷门绝学什么时候出结果
已经有3人回复
天津工业大学郑柳春团队欢迎化学化工、高分子化学或有机合成方向的博士生和硕士生加入
已经有4人回复
康复大学泰山学者周祺惠团队招收博士研究生
已经有6人回复
AI论文写作工具:是科研加速器还是学术作弊器?
已经有3人回复
2楼2016-03-07 19:21:58













回复此楼