| 查看: 592 | 回复: 1 | ||
[求助]
origin9.0 绘图优化求助 已有1人参与
|
|
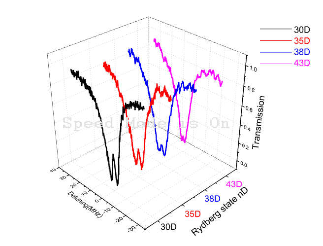
怎样将第二张图修改为第一张图的格式。即怎么去掉第二张的图,曲线下的网格,以及坐标轴怎么实现只去掉4条棱,保留其余8条棱。 }5SCKFK{UMCTPEAI94AC1J3.png CC3~[6T20O%VS]CRI98[]73.png |
» 猜你喜欢
274求调剂
已经有7人回复
北科281学硕材料求调剂
已经有11人回复
085600 材料与化工 329分求调剂
已经有3人回复
302求调剂
已经有3人回复
312求调剂
已经有5人回复
网络空间安全0839招调剂
已经有4人回复
329求调剂
已经有3人回复
【2026考研调剂】制药工程 284分 求相关专业调剂名额
已经有8人回复
085602 289分求调剂
已经有7人回复
材料学硕333求调剂
已经有4人回复

天狼421
木虫 (正式写手)
- 应助: 20 (小学生)
- 金币: 5031.5
- 散金: 20
- 红花: 2
- 帖子: 461
- 在线: 240.2小时
- 虫号: 2278457
- 注册: 2013-02-09
- 性别: MM
- 专业: 光学
2楼2016-03-08 13:47:11













回复此楼