版块导航
正在加载中...
客户端APP下载
论文辅导
申博辅导
登录
注册
帖子
帖子
用户
本版
应《网络安全法》要求,自2017年10月1日起,未进行实名认证将不得使用互联网跟帖服务。为保障您的帐号能够正常使用,请尽快对帐号进行手机号验证,感谢您的理解与支持!
24小时热门版块排行榜
>
论坛更新日志
(2297)
>
考博
(52)
>
论文投稿
(51)
>
导师招生
(42)
>
硕博家园
(40)
>
公派出国
(33)
>
虫友互识
(30)
>
论文道贺祈福
(27)
>
文献求助
(24)
>
休闲灌水
(23)
>
教师之家
(22)
>
考研
(21)
>
博后之家
(19)
>
找工作
(19)
>
招聘信息布告栏
(15)
>
基金申请
(15)
小木虫论坛-学术科研互动平台
»
专业学科区
»
数学
»
计算数学
»
二阶非线性方程降阶
5
2/1
返回列表
查看: 1651 | 回复: 52
只看楼主
@他人
存档
新回复提醒
(忽略)
收藏
在APP中查看
当前只显示满足指定条件的回帖,点击这里查看本话题的所有回帖
梁_某
金虫
(正式写手)
应助: 0
(幼儿园)
金币: 3410.5
帖子: 338
在线: 67.1小时
虫号: 3480725
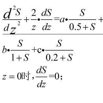
[交流]
二阶非线性方程降阶
求大神解答,本人做污水处理的,奈何毕业论文遇到很多问题,对于数学这块儿,真的是很无奈,小女子跪谢!
发自小木虫Android客户端
回复此楼
» 猜你喜欢
2025冷门绝学什么时候出结果
已经有4人回复
真诚求助:手里的省社科项目结项要求主持人一篇中文核心,有什么渠道能发核心吗
已经有8人回复
寻求一种能扛住强氧化性腐蚀性的容器密封件
已经有5人回复
论文投稿,期刊推荐
已经有6人回复
请问哪里可以有青B申请的本子可以借鉴一下。
已经有4人回复
孩子确诊有中度注意力缺陷
已经有14人回复
请问下大家为什么这个铃木偶联几乎不反应呢
已经有5人回复
请问有评职称,把科研教学业绩算分排序的高校吗
已经有5人回复
天津工业大学郑柳春团队欢迎化学化工、高分子化学或有机合成方向的博士生和硕士生加入
已经有4人回复
康复大学泰山学者周祺惠团队招收博士研究生
已经有6人回复
高级回复
» 抢金币啦!回帖就可以得到:
查看全部散金贴
硫化物全固态电池的产业化破局:手套箱如何实现全线稳定制造
+
1
/84
双一流大学-湘潭大学“电化学能源储存与转换”湖南省重点实验室招生电池方向博士生
+
1
/83
加拿大/英属哥伦比亚大学曹彦凯课题组招收全奖博士/博后 [机器学习/优化/控制方向]
+
1
/82
加拿大/英属哥伦比亚大学曹彦凯课题组招收全奖博士/博后 [机器学习/优化/控制方向]
+
1
/82
同济大学 物理科学与工程学院 陈振跃(国家高层次青年人才) 课题组招聘博士后
+
1
/71
因为雪而勾起的一些往事
+
1
/71
澳门科技大学2026年数学博士招生—杨钧翔助理教授计算物理与数学课题组
+
1
/46
鄢勇课题组2026年拟招收项目聘用人员1名,方向:1. 具身智能;2. 智能感知;3. 忆阻器
+
1
/37
捷克布拉格查理大学(QS260)招收第一性原理计算方向博士生
+
1
/34
华北电力大学(北京)(第一性原理计算)博士招生——学博,专博各1人
+
2
/14
招收26年秋季入学博士生(北科大高精尖学院 力学超材料/机器学习/增材制造相关方向)
+
1
/8
长江大学武汉校区诚招新能源博士(工程热物理、电气、油气)-2025
+
1
/7
伦敦大学学院(University College London)机械工程系博士招生/CSC联培招生
+
1
/7
中山大学院士团队王来源教授课题组招聘博士后
+
2
/6
香港城市大学 Microsystems and Semiconductor Technology Lab 博士生招生启事
+
1
/5
招收26年秋季入学博士生(北科大高精尖学院 力学超材料/机器学习/增材制造相关方向)
+
1
/5
上海师范大学邓清海教授课题组招收2026届有机化学博士研究生
+
1
/3
北京理工大学珠海校区徐先臣课题组招聘博士后/硕博士
+
1
/2
东莞理工学院-大连化物所联合招聘光催化方向博士后2名(年薪48W)
+
1
/2
东北大学招收2025级博士研究生---半导体/微电子/计算物理等相关方向
+
1
/1
1楼
2016-03-05 21:15:48
已阅
回复此楼
关注TA
给TA发消息
送TA红花
TA的回帖
laosam280
禁虫
(正式写手)
★
小木虫: 金币+0.5, 给个红包,谢谢回帖
本帖内容被屏蔽
高级回复
53楼
2016-03-06 13:49:39
已阅
回复此楼
关注TA
给TA发消息
送TA红花
TA的回帖
查看全部 53 个回答
漠漠烟雨
新虫
(著名写手)
应助: 0
(幼儿园)
金币: 3076.9
帖子: 2453
在线: 20.6小时
虫号: 3359736
★
梁_某(金币+1): 谢谢参与
祝富
发自小木虫IOS客户端
回复此楼
8楼
2016-03-05 21:39:30
已阅
回复此楼
关注TA
给TA发消息
送TA红花
TA的回帖
tableman
木虫之王
(文学泰斗)
应助: 70
(初中生)
金币: 177912
帖子: 134934
在线: 4343.6小时
虫号: 2148458
★
梁_某(金币+1): 谢谢参与
祝福楼主了。
回复此楼
10楼
2016-03-05 21:48:43
已阅
回复此楼
关注TA
给TA发消息
送TA红花
TA的回帖
billie113
禁虫
(文坛精英)
★
梁_某(金币+1): 谢谢参与
本帖内容被屏蔽
14楼
2016-03-05 22:01:45
已阅
回复此楼
关注TA
给TA发消息
送TA红花
TA的回帖
简单回复
yejinshi
2楼
2016-03-05 21:19
回复
梁_某(金币+1): 谢谢参与
祝福
发自小木虫IOS客户端
BorjiginSMY
3楼
2016-03-05 21:20
回复
梁_某(金币+1): 谢谢参与
好
发自小木虫IOS客户端
hangyezi
9楼
2016-03-05 21:41
回复
梁_某(金币+1): 谢谢参与
祝福
发自小木虫IOS客户端
Song浅简莫
11楼
2016-03-05 21:53
回复
梁_某(金币+1): 谢谢参与
。
发自小木虫Android客户端
yinhangka
12楼
2016-03-05 21:57
回复
梁_某(金币+1): 谢谢参与
祝福
发自小木虫IOS客户端
核桃芝麻
13楼
2016-03-05 21:58
回复
梁_某(金币+1): 谢谢参与
祝福
发自小木虫IOS客户端
查看全部 53 个回答
如果回帖内容含有宣传信息,请如实选中。否则帐号将被全论坛禁言
普通表情
龙
兔
虎
猫
高级回复
(可上传附件)
百度网盘
|
360云盘
|
千易网盘
|
华为网盘
在新窗口页面中打开自己喜欢的网盘网站,将文件上传后,然后将下载链接复制到帖子内容中就可以了。
信息提示
关闭
请填处理意见
关闭
确定