| 查看: 1092 | 回复: 1 | |
ivy_zheng金虫 (著名写手)
|
[求助]
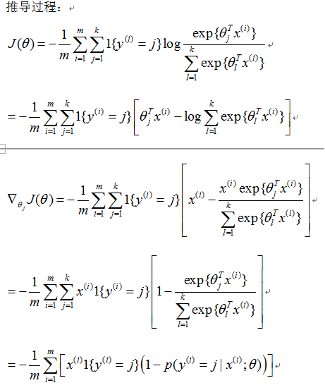
关于Softmax的代价函数求导
|
|
|
|
ivy_zheng金虫 (著名写手)
|
|
|
2楼2016-03-07 00:06:58
|
|













回复此楼