| 查看: 579 | 回复: 0 | ||
[求助]
哪位大神能帮我看看我的Nyquist图?在线等!
|
|
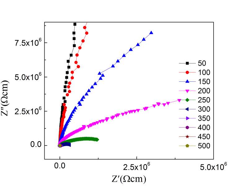
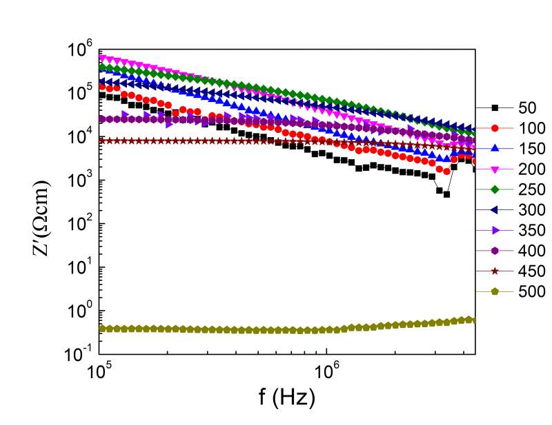
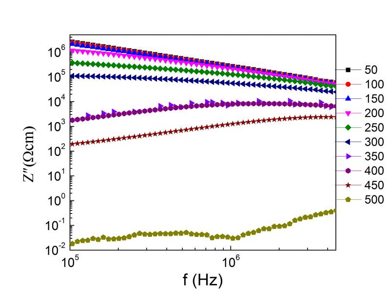
图是同一个材料在不同温度下测得的Nyquist图。 问题1:低频区的半圆为什么没有? 2:此物质的Warburg系数是多少?实部与w^0.5的图怎么做啊我不会 3.实部和虚部分别与频率的关系图是说明了什么问题? 求大神指导 3个图在下面(另附origin文件) 金币只有这么多了,大家帮帮忙 1比1晶体阻抗图1.jpg 1比1晶体阻抗图4.jpg 1比1晶体阻抗图3.jpg |
» 本帖附件资源列表
-
欢迎监督和反馈:小木虫仅提供交流平台,不对该内容负责。
本内容由用户自主发布,如果其内容涉及到知识产权问题,其责任在于用户本人,如对版权有异议,请联系邮箱:xiaomuchong@tal.com - 附件 1 : 阻抗(1号晶体电导率).opj
2016-03-04 13:31:08, 257.4 K
» 猜你喜欢
德国Karlsruhe Institute of Technology招收电化学储能及联合培养CSC博士等
已经有20人回复
德国Karlsruhe Institute of Technology招收电化学储能及联合培养CSC博士
已经有24人回复
物理化学论文润色/翻译怎么收费?
已经有158人回复
德国Karlsruhe Institute of Technology招收电化学储能及联合培养CSC博士
已经有1人回复
固态锂金属电池迁移数计算求助
已经有1人回复
荷兰奈梅亨大学赵文博与Galimberti课题组招收理论计算CSC博士 2000 欧元/月+房补
已经有0人回复
26储能博士申请自荐
已经有23人回复
上海交通大学--宁波东方理工大学电池方向博士招生
已经有10人回复
海南大学全国重点实验室杨金霖老师招收储能电池方向博士生(2026年3月报名,9月入学)
已经有1人回复
海南师范大学2026年博士研究生招收 (在职想提升学历人员可报考) 申请考核制+普通招考
已经有1人回复
申博求助
已经有0人回复













回复此楼