24小时热门版块排行榜    

北京石油化工学院2026年研究生招生接收调剂公告
查看: 385  |  回复: 0
【悬赏金币】回答本帖问题,作者有精打采将赠送您 50 个金币

有精打采

铜虫 (初入文坛)

[求助] 请教关于logistic regression plot

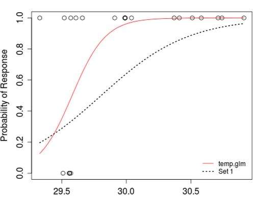
各位前辈,小弟投了一篇稿子,让小修,其中一条意见是关于文章中的图,审稿人让作一个逻辑斯蒂回归的图,而我做的是bar图,他的意见如下:Figure 1 - I don't think this is the right plot for these data - a logistic regression plot would be better suited.
我在论文中是分析了某个性状对个体存活率的影响,用bar图是展示了存活和死亡个体在这个性状上的均值的差异。请问审稿人所指的logistic regression plot是哪种图?是下面的第一种还是第二种呢?
请万能的虫友们赐教,不胜感激!

请教关于logistic regression plot
第一种 (图片来自网络)


请教关于logistic regression plot-1
第二种(图片来自网络)
回复此楼

» 猜你喜欢

已阅   回复此楼   关注TA 给TA发消息 送TA红花 TA的回帖
相关版块跳转 我要订阅楼主 有精打采 的主题更新
不应助 确定回帖应助 (注意:应助才可能被奖励,但不允许灌水,必须填写15个字符以上)
最具人气热帖推荐 [查看全部] 作者 回/看 最后发表
[考研] 一志愿211,335分,0856,求调剂院校和导师 +15 倾____萧 2026-03-27 16/800 2026-04-02 22:50 by JourneyLucky
[考研] 求调剂 +5 朔朔话 2026-04-02 6/300 2026-04-02 22:02 by barlinike
[考研] 085600,材料与化工321分求调剂 +11 大馋小子 2026-03-28 11/550 2026-04-02 15:59 by yunlongyang
[考研] 321求调剂 一志愿 浙江工业大学生物医药 +5 嘿嘿HC 2026-04-01 6/300 2026-04-02 15:23 by sophie2180
[考研] 化学308分调剂 +14 你好明天你好 2026-03-30 15/750 2026-04-02 13:39 by 嘻嘻笑22
[考研] 271求调剂 +15 勒布朗@ 2026-03-31 20/1000 2026-04-02 11:24 by Sammy2
[考研] 262求调剂 +9 励志一定发文章 2026-03-31 10/500 2026-04-01 12:22 by sunshine0013
[考研] 085410人工智能 初试316分 求调剂 +3 残星拂曙 2026-03-31 3/150 2026-04-01 11:09 by 小熊raider
[考研] 求0861交通运输专硕or材料专硕调剂 +4 勒布朗@ 2026-03-31 4/200 2026-04-01 09:54 by 一只好果子?
[考研] 一志愿 南京航空航天大学 ,080500材料科学与工程学硕 +10 @taotao 2026-03-31 11/550 2026-04-01 09:43 by xiayizhi
[考研] 339求调剂 +5 zjjkt 2026-03-31 5/250 2026-04-01 09:18 by JourneyLucky
[考研] 254材料与化工求调剂 +3 翰冬林楠 2026-03-30 4/200 2026-03-31 17:53 by yishunmin
[考研] 329求调剂,一志愿西北工业大学,材料工程(085601) +6 小小机灵虫 2026-03-29 12/600 2026-03-31 16:58 by 记事本2026
[考研] 一志愿中海洋材料357 +4 麦恩莉. 2026-03-30 4/200 2026-03-31 14:35 by 记事本2026
[考研] 一志愿浙江大学工科动力工程370,数一121,专业课135,现在能去哪里 +3 080700调剂 2026-03-30 4/200 2026-03-31 12:00 by KLMY666
[考研] 调剂求院校招收 +7 鹤鲸鸽 2026-03-28 7/350 2026-03-31 11:21 by oooqiao
[考研] 370求调剂 +3 080700调剂 2026-03-30 3/150 2026-03-31 01:09 by A_Zhe
[考研] 348求调剂 +6 小懒虫不懒了 2026-03-28 6/300 2026-03-30 10:29 by Evan_Liu
[考研] 332求92调剂 +8 蕉蕉123 2026-03-28 8/400 2026-03-29 10:46 by 周梓丹
[考研] 数一英一271专硕(085401)求调剂,可跨 +7 前行必有光 2026-03-28 8/400 2026-03-28 23:22 by 小木虫tim
信息提示
请填处理意见