24小时热门版块排行榜    

查看: 2321  |  回复: 0

huamo2014

新虫 (初入文坛)

[求助] 控制方程组中的边界条件加括号,并且括号中有点号和逗号,逗号后有一个数是什么意思

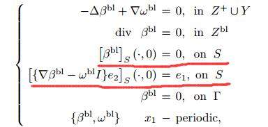
控制方程组中的边界条件加括号,并且括号中有点号和逗号,逗号后有一个数是什么意思比如:
控制方程组中的边界条件加括号,并且括号中有点号和逗号,逗号后有一个数是什么意思

画红线的内容表示的是什么意思
回复此楼

» 猜你喜欢

已阅   回复此楼   关注TA 给TA发消息 送TA红花 TA的回帖
相关版块跳转 我要订阅楼主 huamo2014 的主题更新
最具人气热帖推荐 [查看全部] 作者 回/看 最后发表
[考研] 333求调剂 +5 87639 2026-03-21 7/350 2026-03-21 19:31 by ColorlessPI
[考研] 302求调剂 +12 呼呼呼。。。。 2026-03-17 12/600 2026-03-21 17:29 by ColorlessPI
[考研] 材料与化工(0856)304求 B区 调剂 +3 邱gl 2026-03-21 3/150 2026-03-21 13:47 by lature00
[考研] 330求调剂0854 +3 assdll 2026-03-21 3/150 2026-03-21 13:01 by 搏击518
[考研] 材料工程(专)一志愿985 初试335求调剂 +3 hiloiy 2026-03-17 4/200 2026-03-21 03:04 by JourneyLucky
[考研] 307求调剂 +10 冷笙123 2026-03-17 10/500 2026-03-21 01:54 by JourneyLucky
[考研] 材料专硕英一数二306 +7 z1z2z3879 2026-03-18 7/350 2026-03-20 23:48 by JourneyLucky
[考研] 295求调剂 +4 一志愿京区211 2026-03-18 6/300 2026-03-20 23:41 by JourneyLucky
[考研] 一志愿武理材料工程348求调剂 +3  ̄^ ̄゜汗 2026-03-19 4/200 2026-03-20 21:01 by zhukairuo
[考研] 0817 化学工程 299分求调剂 有科研经历 有二区文章 +22 rare12345 2026-03-18 22/1100 2026-03-20 20:39 by zhukairuo
[考研] 295材料求调剂,一志愿武汉理工085601专硕 +5 Charlieyq 2026-03-19 5/250 2026-03-20 20:35 by JourneyLucky
[考研] 289求调剂 +6 怀瑾握瑜l 2026-03-20 6/300 2026-03-20 20:30 by 学员8dgXkO
[考研] 一志愿 南京航空航天大学大学 ,080500材料科学与工程学硕 +5 @taotao 2026-03-20 5/250 2026-03-20 20:16 by JourneyLucky
[考研] 08工学调剂 +5 用户573181 2026-03-20 5/250 2026-03-20 15:47 by xia_2003
[考研] 0703化学调剂 +4 18889395102 2026-03-18 4/200 2026-03-19 16:13 by 30660438
[硕博家园] 湖北工业大学 生命科学与健康学院-课题组招收2026级食品/生物方向硕士 +3 1喜春8 2026-03-17 5/250 2026-03-17 17:18 by ber川cool子
[考研] 材料专硕326求调剂 +6 墨煜姒莘 2026-03-15 7/350 2026-03-17 17:10 by ruiyingmiao
[考研] 一志愿,福州大学材料专硕339分求调剂 +3 木子momo青争 2026-03-15 3/150 2026-03-17 07:52 by laoshidan
[考研] 070300化学学硕求调剂 +6 太想进步了0608 2026-03-16 6/300 2026-03-16 16:13 by kykm678
[考研] 085601材料工程315分求调剂 +3 yang_0104 2026-03-15 3/150 2026-03-15 10:58 by peike
信息提示
请填处理意见