| 查看: 1275 | 回复: 1 | |
柳叶逸尘铁杆木虫 (正式写手)
|
[求助]
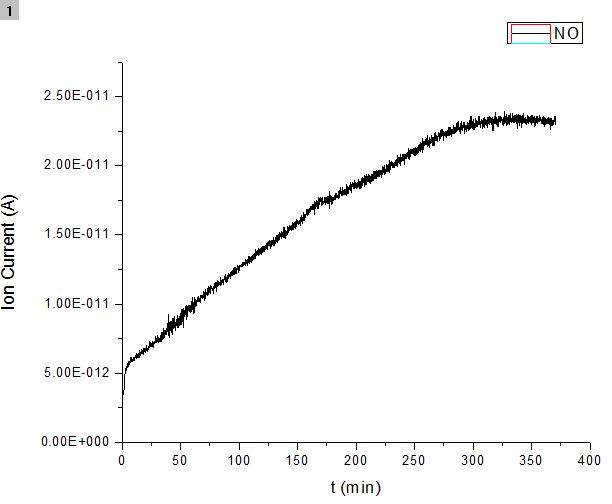
吸附实验,NO的穿透曲线,很长时间后NO显示都未穿透
|
|
|
|
|
2楼2023-05-09 09:17:56
|
|














回复此楼