| 查看: 1712 | 回复: 7 | ||
[求助]
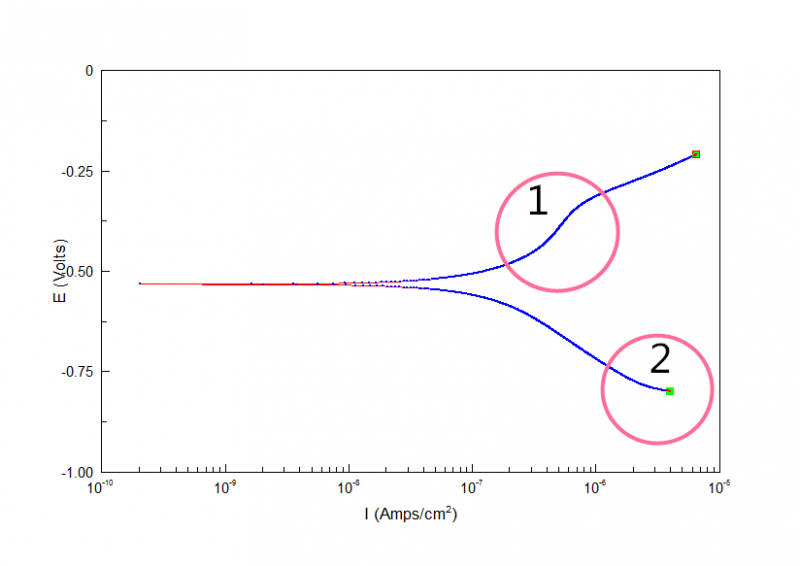
关于极化曲线问题求大神解答! 已有2人参与
|
||
|
|
||
binbinitaly铁杆木虫 (著名写手)
|
【答案】应助回帖
★ ★ ★ ★ ★ ★ ★ ★ ★ ★
感谢参与,应助指数 +1 falconet122: 金币+10, ★★★★★最佳答案, 太感谢啦~! 2016-03-06 10:45:55
|
|
![]() |
||
|
2楼2016-03-03 14:51:36
|
|
|
nanofancy铁杆木虫 (正式写手)
|
||
![]() |
||
|
3楼2016-03-03 15:20:38
|
|
|
|
4楼2016-03-03 16:12:01
|
|
|
|
5楼2016-03-03 16:14:46
|
|
|
nanofancy铁杆木虫 (正式写手)
|
||
![]() |
||
|
6楼2016-03-03 18:45:58
|
|
|
binbinitaly铁杆木虫 (著名写手)
|
||
![]() |
||
|
7楼2016-03-03 19:29:29
|
|
|
|
8楼2016-03-22 00:28:36
|
|














回复此楼

