| 查看: 448 | 回复: 2 | |
[求助]
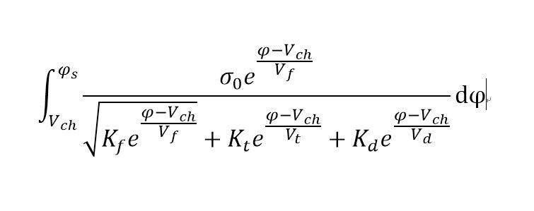
一个积分求解决方法!!各位大神帮帮忙。非常关键
|
|
|
|
|
|
2楼2016-03-02 22:09:03
|
|
|
3楼2016-03-02 22:11:26
|
|













回复此楼
5