| 查看: 1105 | 回复: 6 | ||
[求助]
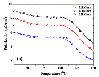
请问怎样从上面这张电滞回线中提取出下图(P与T的关系)啊 已有1人参与
|
||
![]() |
||
|
|
||
guo_kaixin新虫 (初入文坛)
|
||
|
2楼2016-03-01 19:08:18
|
|
|
![]() |
||
|
3楼2016-03-01 23:16:25
|
|
|
guo_kaixin新虫 (初入文坛)
|
【答案】应助回帖
★ ★ ★ ★ ★
AP0908331: 金币+5, ★有帮助 2016-03-02 20:54:57
|
|
|
4楼2016-03-02 08:22:15
|
|
|
guo_kaixin新虫 (初入文坛)
|
||
|
5楼2016-03-02 09:08:22
|
|
|
![]() |
||
|
6楼2016-03-02 20:55:21
|
|
|
![]() |
||
|
7楼2016-03-02 20:55:46
|
|













回复此楼