| ²é¿´: 264 | »Ø¸´: 0 | ||
Ц̸ÈËÉúwzгæ (³õÈëÎÄ̳)
|
[ÇóÖú]
ÊýÖµ¼ÆËã
|
|
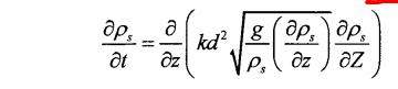
ÎÒÏëÎÊÒ»ÏÂÊú¾®ÑÌÆøÁ÷¶¯ÍÄÁ÷»ìºÏ·½³ÌÈçºÎÓÃMATLABÇó½â£¬ÒÑÖªÃܶÈËæ¸ß¶È±ä»¯µÄ±í´ïʽ¡£Çó´óÉñÖ¸½Ì 360½ØÍ¼20160301113323493.jpg |
» ²ÂÄãϲ»¶
¹âѧ¹¤³Ìѧ˶µ÷¼ÁÐÅÏ¢
ÒѾÓÐ32È˻ظ´
»¶Ó¼ÓÈë¿ÎÌâ×é
ÒѾÓÐ0È˻ظ´
ÎïÀíѧIÂÛÎÄÈóÉ«/·ÒëÔõôÊÕ·Ñ?
ÒѾÓÐ232È˻ظ´
É¢½ð±Ò£¬ÇóºÃÔË£¬×£ÃæÉÏ˳Àû£¡
ÒѾÓÐ78È˻ظ´
»ª¶«Ê¦·¶´óѧоƬÉè¼ÆÐìççÕæÊµË®Æ½Õ¦Ñù
ÒѾÓÐ1È˻ظ´
µ÷¼Á
ÒѾÓÐ0È˻ظ´
¡¾ÐÂ¼ÓÆÂ¡¿ÄÉÃ×µç×ÓÆ÷¼þÏîÄ¿×éÓС°ÁªºÏÅàÑø²©Ê¿Éú¡±Ãû¶î
ÒѾÓÐ0È˻ظ´
Öе²©Ê¿ºó2026ÏîÄ¿5ÔÂ30ÈÕ½ØÖ¹- ¹úÄÚ²©Ê¿ºóÈëÕ¾¡¢µÂ¹úÁ½Äêȫְ
ÒѾÓÐ0È˻ظ´
ÃæÏòÈ«ÇòÉêÇëÈ˵ÄÖе²©Ê¿ºó2026ÏîÄ¿5ÔÂ30ÈÕ½ØÖ¹- ¹úÄÚ²©ºóÈëÕ¾µÂ¹úÁ½Äêȫְ
ÒѾÓÐ0È˻ظ´
¡¾ÐÂ¼ÓÆÂ¡¿ÄÉÃ×µç×ÓÆ÷¼þÏîÄ¿×éÓС°ÁªºÏÅàÑø²©Ê¿Éú¡±Ãû¶î
ÒѾÓÐ2È˻ظ´
ÖØÇì½»´ó²ÄÁÏѧԺ26Äê˶ʿÕÐÉú¸´ÊÔʵʩϸÔòÒѳö¡£»¶Ó¼ÓÈë¹â×Óѧ΢½á¹¹ÓëÆ÷¼þ¿ÎÌâ×é¡£
ÒѾÓÐ0È˻ظ´













»Ø¸´´ËÂ¥
5