| 查看: 9485 | 回复: 1 | |||
[交流]
BET孔径dV/dD怎么算???求大神,急求 已有1人参与
|
|
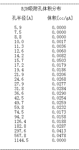
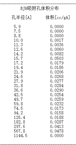
做完BET,处理数据遇到问题,困扰的我头疼,BET数据就这些,孔径纵坐标dV/dD怎么算???求大神 27S]LZIUBO_EX[]7_54%0C4.png 27S]LZIUBO_EX[]7_54%0C4.png |
» 猜你喜欢
温州大学王娟课题组2026年招生
已经有10人回复
温州大学2026年招生(化学、材料)
已经有10人回复
金属材料论文润色/翻译怎么收费?
已经有294人回复
招生负责_院士团队_学生高自由度成长_擅长学生培养
已经有5人回复
温州大学招收2026年入学博士研究生(化学、材料、环境)
已经有10人回复
非晶合金
已经有2人回复
院士团队-每届学生都优秀-高自由度-团队氛围好
已经有0人回复
求调剂
已经有3人回复
化工学院(学院正式调剂群+联系方式)
已经有0人回复
化工学院(学院官方群)-院士团队招生-学生自由度高-培养模式成熟高效
已经有0人回复
黑龙江大学分析化学招调剂
已经有0人回复
2楼2016-03-01 16:35:08













回复此楼