| 查看: 564 | 回复: 1 | ||
[求助]
求助一个非线性求和函数的解,两个未知量,自己的matlab能力太低,先在这里谢过大家了已有1人参与
|
|
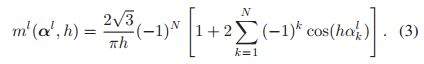
两个未知量是a和h,通过给出h的值(h=1,5,7,11,13,17,19.......6p+1,6p-1等),来求解a的角度, 这个式子我觉得挺复杂,麻烦大家提提意见,我现在思路很乱,谢谢 ![]() 基本函数式.JPG a的范围在0~pi/3之间.JPG |
» 猜你喜欢
三甲基碘化亚砜的氧化反应
已经有4人回复
请问下大家为什么这个铃木偶联几乎不反应呢
已经有5人回复
请问有评职称,把科研教学业绩算分排序的高校吗
已经有5人回复
孩子确诊有中度注意力缺陷
已经有12人回复
2025冷门绝学什么时候出结果
已经有3人回复
天津工业大学郑柳春团队欢迎化学化工、高分子化学或有机合成方向的博士生和硕士生加入
已经有4人回复
康复大学泰山学者周祺惠团队招收博士研究生
已经有6人回复
AI论文写作工具:是科研加速器还是学术作弊器?
已经有3人回复
论文投稿,期刊推荐
已经有4人回复
硕士和导师闹得不愉快
已经有13人回复
2楼2016-03-01 12:59:27















回复此楼