| 查看: 611 | 回复: 1 | ||||
[求助]
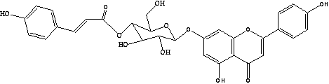
求助 芹菜素-7-O-β-D-(-4″-p-香豆酰基)-葡萄糖苷的 碳谱数据及参考文献 已有1人参与
|
||||
|
|
||||
普思生物专家顾问 (著名写手)
中药对照品,天然产物分离纯化
|
【答案】应助回帖
★ ★ ★ ★ ★ ★ ★ ★ ★ ★
感谢参与,应助指数 +1 cliff0223: 金币+10, ★★★★★最佳答案, 非常感谢 2016-02-29 10:19:30
» 本帖附件资源列表
2016-02-29 10:01:44, 67.28 K
|
|||
|
2楼2016-02-29 10:02:06
|
|














回复此楼