| 查看: 978 | 回复: 1 | |
[求助]
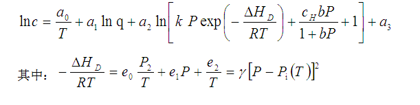
用Matlab做多变量非线性最小二乘法拟合求参数值,求各位大侠鼎力相助 急~~
|
|
|
|
|
![]() |
|
|
2楼2016-03-01 15:48:32
|
|













回复此楼
