| 查看: 2094 | 回复: 1 | |
[求助]
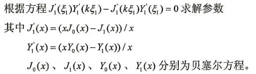
含贝塞尔函数的方程求解问题!
|
|
|
|
|
Youngyoung专家顾问
|
|
|
2楼2018-10-14 13:40:38
|
|














回复此楼