| 查看: 1946 | 回复: 20 | ||
wengpeipei银虫 (初入文坛)
|
[求助]
gaussianl202.exe 错误 已有3人参与
|
|
|
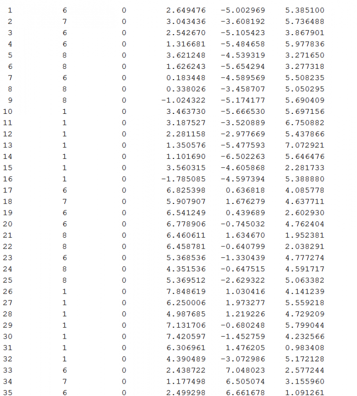
急急急!!!最近一直在用gaussian优化一氨基酸聚合物(自己搭建的),总是出现l202.exe 错误,自己多次修改了初始结构依然出现下面这样的错误,真的恳请大家给点意见,谢谢! H99AYG]P)XF2]DZ%606)~AL.png |
» 猜你喜欢
沙特阿拉伯阿卜杜拉国王科技大学(KAUST)电池方向博士后招聘
已经有0人回复
福州大学新能源材料与工程研究院招收2026年入学博士
已经有0人回复
物理化学论文润色/翻译怎么收费?
已经有102人回复
海南师范大学2026年博士研究生招收 (在职想提升学历人员可报考) 申请考核制
已经有0人回复
中国科学院成都山地灾害与环境研究所2026年特别研究助理(博士后)招聘启事
已经有0人回复
锂离子电池循环寿命衰减过快,求机理分析与改进思路
已经有2人回复
求博导收留
已经有5人回复
CSC & MSCA 博洛尼亚大学能源材料课题组博士/博士后招生|MSCA经费充足、排名优
已经有4人回复
德国Karlsruhe Institute of Technology招收电化学储能及联合培养CSC博士等
已经有15人回复
德国Karlsruhe Institute of Technology招收电化学储能及联合培养CSC博士
已经有15人回复
德国Karlsruhe Institute of Technology招收电化学储能及联合培养CSC博士
已经有1人回复

wengpeipei
银虫 (初入文坛)
- 应助: 2 (幼儿园)
- 金币: 351.5
- 红花: 1
- 帖子: 19
- 在线: 49.8小时
- 虫号: 3055128
- 注册: 2014-03-15
- 性别: MM
- 专业: 理论和计算化学

5楼2016-02-26 20:58:27
kong890109
金虫 (小有名气)
- 应助: 1 (幼儿园)
- 金币: 976.4
- 红花: 10
- 帖子: 139
- 在线: 133.6小时
- 虫号: 2382781
- 注册: 2013-03-28
- 性别: GG
- 专业: 化学动力学
2楼2016-02-26 19:35:45
wengpeipei
银虫 (初入文坛)
- 应助: 2 (幼儿园)
- 金币: 351.5
- 红花: 1
- 帖子: 19
- 在线: 49.8小时
- 虫号: 3055128
- 注册: 2014-03-15
- 性别: MM
- 专业: 理论和计算化学

8楼2016-02-27 10:57:02
wengpeipei
银虫 (初入文坛)
- 应助: 2 (幼儿园)
- 金币: 351.5
- 红花: 1
- 帖子: 19
- 在线: 49.8小时
- 虫号: 3055128
- 注册: 2014-03-15
- 性别: MM
- 专业: 理论和计算化学

3楼2016-02-26 20:37:17
gyli
木虫 (小有名气)
~~~~
- 应助: 1 (幼儿园)
- 金币: 4609.6
- 帖子: 278
- 在线: 328.6小时
- 虫号: 408618
- 注册: 2007-06-21
- 性别: GG
- 专业: 理论和计算化学

4楼2016-02-26 20:57:13
wengpeipei
银虫 (初入文坛)
- 应助: 2 (幼儿园)
- 金币: 351.5
- 红花: 1
- 帖子: 19
- 在线: 49.8小时
- 虫号: 3055128
- 注册: 2014-03-15
- 性别: MM
- 专业: 理论和计算化学

6楼2016-02-26 21:01:00
gyli
木虫 (小有名气)
~~~~
- 应助: 1 (幼儿园)
- 金币: 4609.6
- 帖子: 278
- 在线: 328.6小时
- 虫号: 408618
- 注册: 2007-06-21
- 性别: GG
- 专业: 理论和计算化学

7楼2016-02-27 08:07:26
Jasminer
铁杆木虫 (著名写手)
- 应助: 52 (初中生)
- 金币: 7407.8
- 散金: 1845
- 红花: 27
- 帖子: 1002
- 在线: 728.8小时
- 虫号: 620156
- 注册: 2008-10-08
- 性别: GG
- 专业: 应用有机化学
9楼2016-02-27 11:54:40
wengpeipei
银虫 (初入文坛)
- 应助: 2 (幼儿园)
- 金币: 351.5
- 红花: 1
- 帖子: 19
- 在线: 49.8小时
- 虫号: 3055128
- 注册: 2014-03-15
- 性别: MM
- 专业: 理论和计算化学

10楼2016-02-27 19:33:44













回复此楼