| ²é¿´: 1808 | »Ø¸´: 8 | |||
[ÇóÖú]
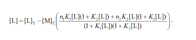
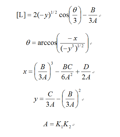
Origin·ÇÏßÐÔÄâºÏ£¬×Ô¼º±à·½³Ì£¬·½³Ì±È½Ï¸´ÔÓ£¬±à½øÈ¥ÁËû·¨ÔËÐУ¬ÇóÖú»á±à³ÌµÄ¸ßÊÖ ÒÑÓÐ1È˲ÎÓë
|
|||
![]() |
|||
|
|
|||
dingdÌú¸Ëľ³æ (Ö°Òµ×÷¼Ò)
|
¡¾´ð°¸¡¿Ó¦Öú»ØÌû
¡ï ¡ï ¡ï ¡ï ¡ï ¡ï ¡ï ¡ï ¡ï ¡ï ¡ï ¡ï ¡ï ¡ï ¡ï ¡ï ¡ï ¡ï ¡ï ¡ï ¡ï ¡ï ¡ï ¡ï ¡ï ¡ï ¡ï ¡ï ¡ï ¡ï
¸Ðл²ÎÓ룬ӦÖúÖ¸Êý +1 847396025: ½ð±Ò+30, ¡ïÓаïÖú 2016-02-26 21:36:08
|
||
|
2Â¥2016-02-26 17:51:08
|
|
||
![]() |
|||
|
3Â¥2016-02-26 21:36:42
|
|
||
dingdÌú¸Ëľ³æ (Ö°Òµ×÷¼Ò)
|
|||
|
4Â¥2016-02-26 21:42:06
|
|
||
Mr__Rightר¼Ò¹ËÎÊ (ÖøÃûдÊÖ)
|
|||
![]() |
|||
|
5Â¥2016-02-27 20:27:34
|
|
||
![]() |
|||
|
6Â¥2016-02-28 09:40:11
|
|
||
Mr__Rightר¼Ò¹ËÎÊ (ÖøÃûдÊÖ)
|
|||
![]() |
|||
|
7Â¥2016-02-28 19:49:18
|
|
||
![]() |
|||
|
8Â¥2016-02-29 08:40:13
|
|
||
![]() |
|||
|
9Â¥2016-03-01 21:33:51
|
|













»Ø¸´´ËÂ¥

847396025
5