| 查看: 4472 | 回复: 5 | ||
[求助]
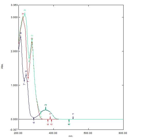
关于荧光猝灭(如何判断是动态猝灭还是静态猝灭???)的一些问题 求帮助!!! 已有1人参与
|
||
|
|
||
|
2楼2016-02-26 18:11:18
|
|
|
|
3楼2016-02-26 18:47:19
|
|
|
|
4楼2016-02-26 20:50:37
|
|
|
【答案】应助回帖
|
||
|
5楼2016-05-11 20:50:48
|
|
|
|
6楼2016-05-15 21:11:39
|
|














回复此楼