24小时热门版块排行榜    

北京石油化工学院2026年研究生招生接收调剂公告
查看: 1304  |  回复: 1

疏若流年

新虫 (初入文坛)

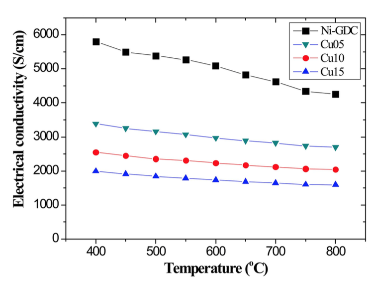
[求助] 金属陶瓷电导率数量级到底是多少?

我在文献中Ni(70 S/m at 700 °C),又看到Cu(70 S/m at 700 °C)
但当它和金属陶瓷,如Ce0.9Gd0.1O1.95(GDC)掺杂后,如图,电导率为什么可以达到几千S/cm??1S/cm=100S/m不是吗?为什么掺杂了不导电的陶瓷材料后导电率可升高百倍甚至千倍??

金属陶瓷电导率数量级到底是多少?
屏幕快照 2016-02-25 下午8.13.24.png


金属陶瓷电导率数量级到底是多少?-1
屏幕快照 2016-02-25 下午8.21.11.png
回复此楼
已阅   回复此楼   关注TA 给TA发消息 送TA红花 TA的回帖

疏若流年

新虫 (初入文坛)

2楼2016-02-26 07:18:04
已阅   回复此楼   关注TA 给TA发消息 送TA红花 TA的回帖
相关版块跳转 我要订阅楼主 疏若流年 的主题更新
最具人气热帖推荐 [查看全部] 作者 回/看 最后发表
[考研] 一志愿华东理工大学,080500学硕,317分,求调剂 +7 s1145 2026-03-31 7/350 2026-03-31 14:38 by fmesaito
[考研] 安徽大学专硕生物与医药专业(086000)324分,英语已过四六级,六级521,求调剂 +7 美味可乐鸡翅 2026-03-26 7/350 2026-03-31 14:23 by 18828373951
[考研] 考研调剂求助 +5 13287130938 2026-03-31 5/250 2026-03-31 14:16 by limeifeng
[考研] 307分求调剂 +3 (o~o) 2026-03-31 3/150 2026-03-31 14:13 by guoweigw
[考研] 083000学硕274求调剂 +12 Li李鱼 2026-03-26 12/600 2026-03-31 10:01 by cal0306
[考研] 0856调剂 +6 曲听筠 2026-03-30 6/300 2026-03-31 09:44 by Jaylen.
[考研] 291求调剂 +12 Y-cap 2026-03-29 15/750 2026-03-31 09:25 by Huaxue_Wang
[考研] 材料与化工调剂一志愿大连海事085600,349 +6 吃的不少 2026-03-30 6/300 2026-03-31 04:17 by fmesaito
[考研] 食品工程专硕一志愿中海洋309求调剂 +5 小张zxy张 2026-03-26 10/500 2026-03-31 00:29 by jp9609
[考研] 材料专硕 085600求调剂 +7 BBQ233 2026-03-30 7/350 2026-03-30 17:44 by oooqiao
[考研] 310求调剂 +10 争取九点睡 2026-03-30 10/500 2026-03-30 16:45 by ztnimte
[考研] 324求调剂 +9 hanamiko 2026-03-26 11/550 2026-03-30 14:27 by JourneyLucky
[考研] 求化学调剂 +11 wulanna 2026-03-28 11/550 2026-03-30 10:59 by 探123
[考研] 311求调剂 +10 lin0039 2026-03-26 10/500 2026-03-30 10:26 by herarysara
[考研] 283求调剂 +3 A child 2026-03-28 3/150 2026-03-28 15:41 by ms629
[考研] 材料求调剂一志愿哈工大324 +7 闫旭东 2026-03-28 9/450 2026-03-28 08:51 by Xu de nuo
[考研] 265求调剂11408 +3 刘小鹿lu 2026-03-27 3/150 2026-03-27 20:53 by nihaoar
[考研] 081200-11408-276学硕求调剂 +4 崔wj 2026-03-26 4/200 2026-03-27 08:04 by chemisry
[考研] 环境专硕324分求调剂推荐 +5 轩小宁—— 2026-03-26 5/250 2026-03-26 12:05 by i_cooler
[考研] 347求调剂 +4 L when 2026-03-25 4/200 2026-03-25 13:37 by cocolv
信息提示
请填处理意见