24小时热门版块排行榜    

查看: 3961  |  回复: 1

疏若流年

新虫 (初入文坛)

[求助] 求问镍、铜电导率

如题。
我在文献中Ni(70 S/m at 700 °C),又看到Cu(70 S/m at 700 °C) ,求问具体数值?
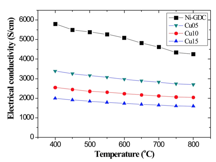
另外更加困惑我的是金属陶瓷电导率,如图,电导率为什么可以达到几千S/cm??1S/cm=100S/m不是吗?为什么掺杂了不导电的陶瓷材料后导电率可升高百倍甚至千倍??

求问镍、铜电导率
屏幕快照 2016-02-25 下午8.13.24.png


求问镍、铜电导率-1
屏幕快照 2016-02-25 下午8.21.11.png
回复此楼

» 猜你喜欢

» 本主题相关商家推荐: (我也要在这里推广)

已阅   回复此楼   关注TA 给TA发消息 送TA红花 TA的回帖

疏若流年

新虫 (初入文坛)

2楼2016-02-26 07:17:34
已阅   回复此楼   关注TA 给TA发消息 送TA红花 TA的回帖
相关版块跳转 我要订阅楼主 疏若流年 的主题更新
最具人气热帖推荐 [查看全部] 作者 回/看 最后发表
[考研] 307求调剂 +3 余意卿 2026-03-21 3/150 2026-03-23 10:32 by Iveryant
[考研] 277材料科学与工程080500求调剂 +7 自由煎饼果子 2026-03-16 7/350 2026-03-22 22:40 by ACS Nano——
[考研] 317求调剂 +12 申子申申 2026-03-19 18/900 2026-03-22 22:23 by luoyongfeng
[考研] 一志愿上海交大生物与医药专硕324分,求调剂 +3 jiajunX 2026-03-22 3/150 2026-03-22 19:32 by brblmd
[考研] 材料学硕301分求调剂 +7 Liyouyumairs 2026-03-21 7/350 2026-03-21 22:31 by peike
[考研] 307求调剂 +3 余意卿 2026-03-18 3/150 2026-03-21 17:31 by ColorlessPI
[考研] 299求调剂 +4 某某某某位 2026-03-21 4/200 2026-03-21 16:30 by barlinike
[考研] 0805材料320求调剂 +3 深海物语 2026-03-20 3/150 2026-03-21 15:46 by 无际的草原
[考研] 085601调剂 358分 +3 zzzzggh 2026-03-20 4/200 2026-03-21 10:21 by luoyongfeng
[考研] 机械专硕299求调剂至材料 +3 kkcoco25 2026-03-16 4/200 2026-03-21 03:52 by JourneyLucky
[考研] 一志愿天津大学化学工艺专业(081702)315分求调剂 +12 yangfz 2026-03-17 12/600 2026-03-21 03:30 by JourneyLucky
[考研] 265求调剂 +3 Jack?k?y 2026-03-17 3/150 2026-03-21 03:17 by JourneyLucky
[考研] 初始318分求调剂(有工作经验) +3 1911236844 2026-03-17 3/150 2026-03-21 02:33 by JourneyLucky
[考研] 求调剂 +3 Ma_xt 2026-03-17 3/150 2026-03-21 02:05 by JourneyLucky
[考研] 一志愿 西北大学 ,070300化学学硕,总分287,双非一本,求调剂。 +3 晨昏线与星海 2026-03-18 3/150 2026-03-21 00:46 by JourneyLucky
[考研] 南京大学化学376求调剂 +3 hisfailed 2026-03-19 6/300 2026-03-20 23:43 by hisfailed
[考研] 329求调剂 +9 想上学吖吖 2026-03-19 9/450 2026-03-20 22:01 by luoyongfeng
[考研] 一志愿中国海洋大学,生物学,301分,求调剂 +5 1孙悟空 2026-03-17 6/300 2026-03-19 23:46 by zcl123
[考研] 考研调剂 +3 淇ya_~ 2026-03-17 5/250 2026-03-17 09:25 by Winj1e
[考研] 11408 一志愿西电,277分求调剂 +3 zhouzhen654 2026-03-16 3/150 2026-03-17 07:03 by laoshidan
信息提示
请填处理意见