版块导航
正在加载中...
客户端APP下载
论文辅导
申博辅导
登录
注册
帖子
帖子
用户
本版
应《网络安全法》要求,自2017年10月1日起,未进行实名认证将不得使用互联网跟帖服务。为保障您的帐号能够正常使用,请尽快对帐号进行手机号验证,感谢您的理解与支持!
24小时热门版块排行榜
>
论坛更新日志
(4179)
>
文献求助
(420)
>
虫友互识
(400)
>
导师招生
(334)
>
考博
(181)
>
论文投稿
(161)
>
博后之家
(133)
>
硕博家园
(122)
>
招聘信息布告栏
(117)
>
休闲灌水
(106)
>
教师之家
(99)
>
基金申请
(67)
>
考研
(50)
>
公派出国
(46)
>
绿色求助(高悬赏)
(45)
>
找工作
(33)
小木虫论坛-学术科研互动平台
»
网络生活区
»
有奖问答
»
有奖问答完结子版
»
有GPC数据分析经验的虫友进来指教一下~
5
1/1
返回列表
查看: 1003 | 回复: 2
只看楼主
@他人
存档
新回复提醒
(忽略)
收藏
在APP中查看
当前只显示满足指定条件的回帖,点击这里查看本话题的所有回帖
notsmart
新虫
(小有名气)
应助: 0
(幼儿园)
金币: 616.8
帖子: 122
在线: 31.4小时
虫号: 595055
[交流]
有GPC数据分析经验的虫友进来指教一下~
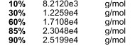
在分子量分析中,GPC是一个快捷的方法,并且看起来比较先进和高级,该方法的流动相分水相和有机相两种,相对应的仪器管路也会不一样。其根据相似相容原则来进行测定目标物。一般流动相为有机相的称为HPGPC,流动相为水相的称为HPGFC。
GPC 的操作界面比液相还简单,但是数据分析中有些地方不是很好懂,特向大家请教:
有经验的虫友是否可以详细解释一下GPC报告中那个10%、30%、90%等这几个百分值的意义?我曾想,这是不是峰面积的比例,但看数值又是一个点的数值,所以很疑惑啊。中国药典2005和2010版里面对右旋糖酐20,40,70的描述中都有提到10%小分子部分,10%大分子部分,这个到底是不是也可以在GPC报告或软件中得到啊,或是他是用其他的质量法等等算出来的呢?请大侠们解疑答惑啊~
也欢迎大家把自己其他的经验或问题拿出来分享和讨论啊~
[
Last edited by notsmart on 2011-5-16 at 10:58
]
回复此楼
» 猜你喜欢
压汞仪和BET测气凝胶孔隙率
已经有4人回复
博士申请都是内定的吗?
已经有14人回复
博士申请
已经有3人回复
投稿返修后收到这样的回复,还有希望吗
已经有5人回复
谈谈两天一夜的“延安行”
已经有13人回复
氨基封端PDMS和HDI反应快速固化
已经有11人回复
之前让一硕士生水了7个发明专利,现在这7个获批发明专利的维护费可从哪儿支出哈?
已经有11人回复
论文投稿求助
已经有4人回复
Applied Surface Science 这个期刊。有哪位虫友投过的能把word模板发给我参考一下嘛
已经有3人回复
投稿精细化工
已经有6人回复
高级回复
» 本主题相关价值贴推荐,对您同样有帮助:
迷茫啊,到底要不要读phD?---请虫友们帮忙分析一下吧
已经有21人回复
rt-pcr电泳图,求好心虫友帮助分析一下,跪谢。。。
已经有14人回复
请虫友帮忙分析一下,我们这是筛到了什么样的菌株?
已经有12人回复
GPC数据处理的问题,分峰、计算峰面积、求比例...
已经有9人回复
从媳妇到婆婆(5-完结篇)-研究生应掌握的五大数据分析技能
已经有27人回复
这个升温程序和出峰时间正常吗,欢迎懂气相的虫友进来交流
已经有8人回复
请虫友们帮我分析一下,谢谢啊!第一篇文章不很了解?
已经有19人回复
【求助】联培遇到困难,需要选择(选择怕了),请各位虫友帮忙分析一下(非常急),谢
已经有20人回复
【求助】求关于GPC数据的分析
已经有10人回复
【求助】GPC数据处理
已经有8人回复
【求助】虫友们有用过氨基柱的吗?了解的请帮忙看一下。
已经有9人回复
【求助】请搞化学分析或者印染的虫友进来帮忙解释一个问题,谢谢!
已经有8人回复
【求助】GPC数据处理
已经有4人回复
【求助】GPC数据处理
已经有13人回复
【交流】【有奖参与】来分析版的虫友,请大家介绍一下自己的研究方向^_^
已经有61人回复
» 抢金币啦!回帖就可以得到:
查看全部散金贴
【CSC招生】荷兰莱顿大学医学中心LKEB图像处理实验室 招收2026年CSC博士生多名
+
1
/89
杭州某上市公司招聘一位原料合成经理
+
1
/46
国家高层次人才引进
+
1
/39
上海交通大学周宝文课题组招收2026年申请考核制博士研究生
+
1
/39
湖南师范大学申请考核制化学、化工、材料类博士研究生招生,2026年9月入学
+
1
/34
岭南大学(香港)诚招固态电池方向优秀博士生
+
1
/31
首都师范大学微生物方向2026年秋考核博士招生
+
2
/22
论文即将投出,求发表,求祝福,传递好运
+
1
/20
香港城市大学软物质课题组现招收博士研究生
+
1
/13
中国科大化材学院/苏州高研院刘东/熊宇杰教授团队诚聘博士后
+
1
/12
香港城市大学招聘博士后 (有机合成/催化/流动化学)
+
1
/11
26年-考博求助
+
1
/11
SCI文章辅助,无人机、计算机网络通信、算法方向 3纯4自7己0写9非③中1介⑦优0惠
+
1
/9
年底招聘有机合成
+
1
/6
作物育种方向招聘副研、科研助理和实验技术员
+
1
/6
北京工业大学韩晓东课题组招收博士研究生
+
1
/4
SCI文章辅助,无人机、计算机网络通信、算法方向
+
1
/4
新加坡南洋理工大学招聘博士后(固态电池,固体离子导体,转化正极方向)
+
1
/3
SCI文章辅助,无人机、计算机网络通信、算法方向
+
1
/2
上海交通大学杨胜课题组招收2026年春季和秋季“申请-考核制”博士生 (二维材料方向)
+
1
/2
1楼
2011-05-16 10:52:17
已阅
关注TA
给TA发消息
送TA红花
TA的回帖
果粒成1987
金虫
(正式写手)
应助: 0
(幼儿园)
金币: 928.7
帖子: 388
在线: 62.3小时
虫号: 1621544
★
notsmart(金币+1): 谢谢参与
我也做这个,但是很郁闷啊,结果出来了不会分析。。。多交流多交流,加油!
赞
一下
回复此楼
高级回复
3楼
2012-06-06 10:12:10
已阅
关注TA
给TA发消息
送TA红花
TA的回帖
查看全部 3 个回答
查看全部 3 个回答
信息提示
关闭
请填处理意见
关闭
确定