24小时热门版块排行榜    

查看: 1767  |  回复: 10

feixiaolin

荣誉版主 (文坛精英)

优秀版主

【答案】应助回帖

★ ★ ★ ★ ★ ★
Aloneddt: 金币+6, ★★★很有帮助 2016-03-24 19:21:20
引用回帖:
5楼: Originally posted by Aloneddt at 2015-12-05 21:13:54
这个积分表哪有啊!积分表都是一般的计算公式啊
...

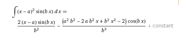
http://www.wolframalpha.com/input/?i=Integrate%5B%28x-a%29%5E2*sin%28b*x%29%5D&dataset=
定积分求解,做了好久,求简便方法
44.PNG

11楼2015-12-30 17:20:34
已阅   回复此楼   关注TA 给TA发消息 送TA红花 TA的回帖
相关版块跳转 我要订阅楼主 Aloneddt 的主题更新
最具人气热帖推荐 [查看全部] 作者 回/看 最后发表
[考研] 求调剂 +4 十三加油 2026-03-21 4/200 2026-03-21 16:20 by barlinike
[考研] 330求调剂0854 +3 assdll 2026-03-21 3/150 2026-03-21 13:01 by 搏击518
[考研] 070300化学319求调剂 +7 锦鲤0909 2026-03-17 7/350 2026-03-21 03:46 by JourneyLucky
[考研] 307求调剂 +3 wyyyqx 2026-03-17 3/150 2026-03-21 03:20 by JourneyLucky
[考研] 华东师范大学-071000生物学-293分-求调剂 +3 研究生何瑶明 2026-03-18 3/150 2026-03-21 01:30 by JourneyLucky
[考研] 一志愿 西北大学 ,070300化学学硕,总分287,双非一本,求调剂。 +3 晨昏线与星海 2026-03-18 3/150 2026-03-21 00:46 by JourneyLucky
[考研] 321求调剂 +9 何润采123 2026-03-18 11/550 2026-03-20 23:19 by JourneyLucky
[考研] 考研调剂求学校推荐 +3 伯乐29 2026-03-18 5/250 2026-03-20 22:59 by JourneyLucky
[考研] 一志愿武汉理工材料工程专硕调剂 +9 Doleres 2026-03-19 9/450 2026-03-20 22:36 by JourneyLucky
[考研] 一志愿苏州大学材料求调剂,总分315(英一) +5 sbdksD 2026-03-19 5/250 2026-03-20 22:10 by luoyongfeng
[考研] 329求调剂 +9 想上学吖吖 2026-03-19 9/450 2026-03-20 22:01 by luoyongfeng
[考研] 中南大学化学学硕337求调剂 +3 niko- 2026-03-19 6/300 2026-03-20 21:58 by luoyongfeng
[考研] 一志愿中南化学(0703)总分337求调剂 +8 niko- 2026-03-19 9/450 2026-03-20 21:57 by luoyongfeng
[考研] 295复试调剂 +8 简木ChuFront 2026-03-19 8/400 2026-03-20 20:44 by zhukairuo
[考研] 081700化工学硕调剂 +3 【1】 2026-03-16 3/150 2026-03-19 23:40 by edmund7
[考研] 085600材料与化工调剂 324分 +10 llllkkkhh 2026-03-18 12/600 2026-03-19 14:33 by llllkkkhh
[考研] 311求调剂 +11 冬十三 2026-03-15 12/600 2026-03-18 14:36 by 星空星月
[考博] 26博士申请 +3 1042136743 2026-03-17 3/150 2026-03-17 23:30 by 轻松不少随
[考研] 材料专硕326求调剂 +6 墨煜姒莘 2026-03-15 7/350 2026-03-17 17:10 by ruiyingmiao
[考研] 一志愿,福州大学材料专硕339分求调剂 +3 木子momo青争 2026-03-15 3/150 2026-03-17 07:52 by laoshidan
信息提示
请填处理意见