| 查看: 1496 | 回复: 17 | |||
[求助]
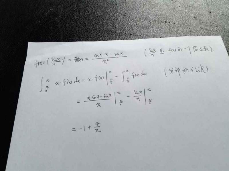
求一个定积分 已有6人参与
|
|||
|
|
|||
| 回帖支持 ( 显示支持度最高的前 50 名 ) | |||
shabaolin铜虫 (著名写手)
|
|||
|
10楼2015-12-01 03:33:39
|
|
||
chaosthinker木虫 (小有名气)
|
|||
|
15楼2015-12-01 08:09:03
|
|
||
| 普通回帖 | |||
赵梦92木虫 (著名写手)
|
|||
|
2楼2015-11-30 21:14:56
|
|
||
|
3楼2015-11-30 21:22:35
|
|
||
1210080842金虫 (小有名气) |
|||
|
4楼2015-11-30 21:38:48
|
|
||
1210080842金虫 (小有名气)
|
|||
![]() |
|||
|
5楼2015-11-30 21:41:09
|
|
||
|
6楼2015-11-30 21:54:23
|
|
||
wurongjun专家顾问 (职业作家)
|
|||
![]() |
|||
|
7楼2015-11-30 22:08:04
|
|
||
|
8楼2015-12-01 03:25:32
|
|
||
shabaolin铜虫 (著名写手)
|
|||
|
9楼2015-12-01 03:26:30
|
|
||













回复此楼

