版块导航
正在加载中...
客户端APP下载
论文辅导
申博辅导
登录
注册
帖子
帖子
用户
本版
应《网络安全法》要求,自2017年10月1日起,未进行实名认证将不得使用互联网跟帖服务。为保障您的帐号能够正常使用,请尽快对帐号进行手机号验证,感谢您的理解与支持!
24小时热门版块排行榜
>
论坛更新日志
(3502)
>
文献求助
(175)
>
虫友互识
(164)
>
导师招生
(76)
>
休闲灌水
(69)
>
硕博家园
(60)
>
考博
(56)
>
招聘信息布告栏
(49)
>
论文投稿
(46)
>
基金申请
(35)
>
教师之家
(32)
>
留学DIY
(31)
>
论文道贺祈福
(28)
>
公派出国
(27)
>
考研
(24)
>
博后之家
(15)
小木虫论坛-学术科研互动平台
»
化学化工区
»
无机/物化
»
物理化学
»
物理化学热力学证明题
4
1/1
返回列表
查看: 979 | 回复: 3
只看楼主
@他人
存档
新回复提醒
(忽略)
收藏
在APP中查看
马上封侯
金虫
(小有名气)
应助: 0
(幼儿园)
金币: 670.7
散金: 40
帖子: 117
在线: 68小时
虫号: 2907509
注册: 2014-01-01
性别: GG
专业: 色谱分析
[
求助
]
物理化学热力学证明题
已有1人参与
第二小问证明不出来,求大神呀
发自小木虫IOS客户端
回复此楼
» 收录本帖的淘帖专辑推荐
谷老师解答热力学专题
» 猜你喜欢
二苯甲酮亚胺的合成
已经有1人回复
聚左旋乳酸的作用与机制:从胶原再生到组织修复
已经有0人回复
有机高分子材料论文润色/翻译怎么收费?
已经有90人回复
可生物降解聚酯聚己内酯的性能分析与发展趋势
已经有0人回复
带膜支架的膜和支架之间的结合力如何测试
已经有2人回复
西交利物浦大学奖学金博士招生(生物传感或机器学习方向)
已经有1人回复
南方科技大学招收金属材料方向博士生
已经有23人回复
可降解聚酯材料在医疗器械中的应用趋势与创新方向
已经有0人回复
可降解微球如何提升药物精准治疗效果
已经有0人回复
静电纺丝膜分层问题
已经有0人回复
什么脱膜剂可以完全清洗干净啊?
已经有2人回复
» 本主题相关价值贴推荐,对您同样有帮助:
中科院2015考博过程所物理化学真题记忆版
已经有8人回复
中科大考博,下午第一门专业课《物理化学》结束。。。崩溃了。。。。
已经有12人回复
求助物理化学里表面热力学的证明题
已经有1人回复
硕导博导你们能讲清楚这个初中热学题吗?
已经有34人回复
曲师大2013年的物理化学辅导课件
已经有0人回复
分享经验攒人品,讲讲我是如何复习[注化基础]的及报名事项
已经有14人回复
中科院系统《物理化学》(甲)考研复习经验——转自某大师级好友的人人网
已经有67人回复
求助物理化学 热力学证明题一道
已经有1人回复
【分享】北京大学1993考研试题(还有很多,有需要的联系我)
已经有6人回复
【分享】北京大学1991考研试题(还有很多,有需要的联系我)
已经有1人回复
学术论文写作[漫谈]
已经有1人回复
【转贴】如何写好摘要
已经有16人回复
1楼
2015-11-23 21:32:53
已阅
回复此楼
关注TA
给TA发消息
送TA红花
TA的回帖
谷中明
至尊木虫
(著名写手)
ICEPI: 19
应助: 1264
(讲师)
贵宾: 0.482
金币: 24134.7
红花: 182
帖子: 2913
在线: 1911.3小时
虫号: 1883403
注册: 2012-07-08
性别: GG
专业: 热力学
【答案】应助回帖
★
感谢参与,应助指数 +1
青若: 金币+1, 谢谢回帖
2015-11-23 23:01:07
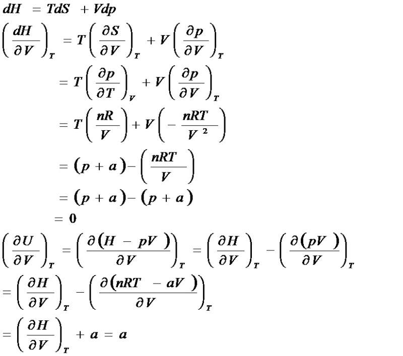
证明过程见附图。
证明8.jpg
赞
一下
(1人)
回复此楼
2楼
2015-11-23 22:30:54
已阅
回复此楼
关注TA
给TA发消息
送TA红花
TA的回帖
谷中明
至尊木虫
(著名写手)
ICEPI: 19
应助: 1264
(讲师)
贵宾: 0.482
金币: 24134.7
红花: 182
帖子: 2913
在线: 1911.3小时
虫号: 1883403
注册: 2012-07-08
性别: GG
专业: 热力学
【答案】应助回帖
★ ★ ★ ★ ★ ★ ★ ★ ★
冰点降温: 金币+1, 谢谢回帖,辛苦啦!
2015-11-24 09:18:48
马上封侯(冰点降温代发): 金币+8
2015-11-25 09:18:40
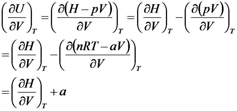
证明过程见附图。
证明9.jpg
赞
一下
(1人)
回复此楼
» 本帖已获得的红花(最新10朵)
马上封侯
3楼
2015-11-24 09:15:39
已阅
回复此楼
关注TA
给TA发消息
送TA红花
TA的回帖
马上封侯
金虫
(小有名气)
应助: 0
(幼儿园)
金币: 670.7
散金: 40
帖子: 117
在线: 68小时
虫号: 2907509
注册: 2014-01-01
性别: GG
专业: 色谱分析
送红花一朵
引用回帖:
3楼
:
Originally posted by
谷中明
at 2015-11-24 09:15:39
证明过程见附图。
证明9.jpg
感谢老师
发自小木虫IOS客户端
回复此楼
4楼
2015-11-24 16:49:57
已阅
回复此楼
关注TA
给TA发消息
送TA红花
TA的回帖
相关版块跳转
有机交流
有机资源
高分子
无机/物化
分析
催化
工艺技术
化工设备
石油化工
精细化工
电化学
环境
SciFinder/Reaxys
我要订阅楼主
马上封侯
的主题更新
4
1/1
返回列表
如果回帖内容含有宣传信息,请如实选中。否则帐号将被全论坛禁言
普通表情
龙
兔
虎
猫
百度网盘
|
360云盘
|
千易网盘
|
华为网盘
在新窗口页面中打开自己喜欢的网盘网站,将文件上传后,然后将下载链接复制到帖子内容中就可以了。
信息提示
关闭
请填处理意见
关闭
确定