| 查看: 1351 | 回复: 1 | ||
Sean_Hu0206银虫 (小有名气)
|
[求助]
求懂激光的大神帮助!!!激光器谐振腔损耗,理论斜效率 已有1人参与
|
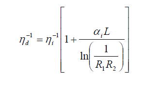
若一个激光谐振腔输出透过率分别为Toc=5%, 10% 和15%, 对应的斜效率分别为: 69.0%, 74.0%和 75.9%; 求谐振腔损耗=?和可达到的理论斜效率0=? 求大神助攻 |
» 猜你喜欢
266分,求材料冶金能源化工等调剂
已经有5人回复
265求调剂
已经有6人回复
320分,材料与化工专业,求调剂
已经有3人回复
高温高压反应求助
已经有4人回复
085701环境工程求调剂
已经有7人回复
285求调剂
已经有7人回复
265求调剂11408
已经有3人回复
085701环境工程,267求调剂
已经有11人回复
学硕274求调剂
已经有5人回复
291求调剂
已经有6人回复
2楼2015-12-12 03:47:59














求大神助攻
回复此楼
6