| 查看: 851 | 回复: 3 | ||
1414170193
|
[求助]
LiMn2O4的CV曲线
|
|
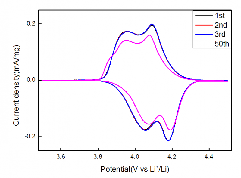
图中的两对峰应该是氧化峰高对应的还原峰也高吗?为什么有一个图中氧化峰高对应的还原峰却低,什么原因造成的? 4EB2}}7U2IW]AP8D0C_CMEL.png Z9~%L9P6]_$F5Z]LO[P[2GW.png |
» 猜你喜欢
核磁分析软件MestReNova打开文件时报错
已经有0人回复
在职博后不能申请博后基金了,那么在职博后意义何在?
已经有2人回复
分析化学论文润色/翻译怎么收费?
已经有124人回复
青岛大学化学化工学院分子测量学研究院2026年招收博士研究生
已经有0人回复
香港科技大学(广州)诚招电催化方向博士生(2026秋入学)
已经有0人回复
求助Cu2+1O的CIF文件(PDF: 05-0667)
已经有1人回复
KAUST(阿卜杜拉国王科技大学)MXene 器件方向博士后招聘
已经有0人回复
沙特阿拉伯阿卜杜拉国王科技大学(KAUST)电池方向博士后招聘
已经有0人回复
福州大学新能源材料与工程研究院招收2026年入学博士
已经有0人回复
» 本主题相关价值贴推荐,对您同样有帮助:
LiMn2O4氧化还原峰
已经有6人回复
请教如何理解 1st和2nd/3rd循环伏安曲线中电流峰位变化 (有图)
已经有0人回复
LiMn2O4 CV曲线还原峰先于氧化峰出现,为什么?
已经有0人回复
CV曲线分析
已经有0人回复
1414170193
银虫 (小有名气)
- 应助: 15 (小学生)
- 金币: 630.9
- 散金: 50
- 红花: 2
- 帖子: 266
- 在线: 175.5小时
- 虫号: 3093962
- 注册: 2014-03-27
- 专业: 冶金物理化学与冶金原理
2楼2015-10-26 17:13:12
3楼2015-10-27 01:22:22
1414170193
银虫 (小有名气)
- 应助: 15 (小学生)
- 金币: 630.9
- 散金: 50
- 红花: 2
- 帖子: 266
- 在线: 175.5小时
- 虫号: 3093962
- 注册: 2014-03-27
- 专业: 冶金物理化学与冶金原理
4楼2015-10-27 08:18:35













回复此楼