| ²é¿´: 1515 | »Ø¸´: 12 | ||
| µ±Ç°Ö»ÏÔʾÂú×ãÖ¸¶¨Ìõ¼þµÄ»ØÌû£¬µã»÷ÕâÀï²é¿´±¾»°ÌâµÄËùÓлØÌû | ||
htiejiangÒø³æ (ÕýʽдÊÖ)
|
[ÇóÖú]
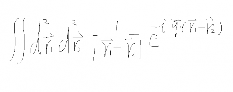
ÇëÎÊÕâ¸öµç×ÓÓëµç×ÓÏ໥×÷ÓõĻý·ÖÔõô×ö ÒÑÓÐ2È˲ÎÓë
|
|
|
Èç¹ûËùʾ£¬Ê¸Á¿r1 ºÍr2ÊǶþÎ¬Æ½Ãæµç×ÓµÄÎ»ÒÆÊ¸Á¿£¬Õâ¸ö»ý·ÖÔõô×öÄØ¡£eÖ¸ÊýÊǸö¸´Êý¡£qÒ²ÊÇʸÁ¿¡£ ÎÞ±êÌâ.png |
» ²ÂÄãϲ»¶
083000ѧ˶274Çóµ÷¼Á
ÒѾÓÐ6È˻ظ´
304Çóµ÷¼Á
ÒѾÓÐ4È˻ظ´
ÕÅ·¼Ãú-Öйúũҵ´óѧ-»·¾³¹¤³Ìר˶-298
ÒѾÓÐ4È˻ظ´
266·Ö£¬Çó²ÄÁÏÒ±½ðÄÜÔ´»¯¹¤µÈµ÷¼Á
ÒѾÓÐ8È˻ظ´
085701»·¾³¹¤³Ì£¬267Çóµ÷¼Á
ÒѾÓÐ13È˻ظ´
Ò»Ö¾Ô¸ÖÐÄÏ´óѧ»¯Ñ§0703×Ü·Ö337Çóµ÷¼Á
ÒѾÓÐ3È˻ظ´
Ò»Ö¾Ô¸Äϲý´óѧ324Çóµ÷¼Á
ÒѾÓÐ5È˻ظ´
322Çóµ÷¼Á
ÒѾÓÐ6È˻ظ´
320·Ö£¬²ÄÁÏÓ뻯¹¤×¨Òµ£¬Çóµ÷¼Á
ÒѾÓÐ9È˻ظ´
086502»¯Ñ§¹¤³Ì342Çóµ÷¼Á
ÒѾÓÐ6È˻ظ´
Ê®µãÖӵĿ§·È
½ð³æ (ÕýʽдÊÖ)
- ÎïÀíEPI: 3
- Ó¦Öú: 17 (СѧÉú)
- ½ð±Ò: 481.1
- É¢½ð: 209
- ºì»¨: 16
- Ìû×Ó: 678
- ÔÚÏß: 85.4Сʱ
- ³æºÅ: 2444281
- ×¢²á: 2013-05-02
- רҵ: ¹âѧ
11Â¥2015-10-06 14:56:08
simonrac
½ð³æ (СÓÐÃûÆø)
- ÎïÀíEPI: 1
- Ó¦Öú: 33 (СѧÉú)
- ½ð±Ò: 1722.1
- É¢½ð: 50
- ºì»¨: 9
- Ìû×Ó: 153
- ÔÚÏß: 429.3Сʱ
- ³æºÅ: 4024019
- ×¢²á: 2015-08-16
- ÐÔ±ð: GG
- רҵ: ÊýѧÎïÀí
¡¾´ð°¸¡¿Ó¦Öú»ØÌû
¡ï ¡ï
¸Ðл²ÎÓ룬ӦÖúÖ¸Êý +1
htiejiang: ½ð±Ò+2, ¡ï¡ï¡ïºÜÓаïÖú, ¸ßÊÖ°¡Ð»Ð» 2015-10-04 09:52:28
¸Ðл²ÎÓ룬ӦÖúÖ¸Êý +1
htiejiang: ½ð±Ò+2, ¡ï¡ï¡ïºÜÓаïÖú, ¸ßÊÖ°¡Ð»Ð» 2015-10-04 09:52:28
| Õâ¸úÎÒÔÚÕâÀï (http://muchong.com/bbs/viewthread.php?tid=9455376&fpage=1) ×öµÄ»ý·Ö²î²»¶à£¬Ö÷Òª¾ÍÓõ½ÁôÊý¶¨Àí£¬»¹ÓÐÒ»¸öżº¯Êý¶Ô³ÆÐԵļ¼ÇÉ£¡ |
2Â¥2015-10-04 01:40:35
simonrac
½ð³æ (СÓÐÃûÆø)
- ÎïÀíEPI: 1
- Ó¦Öú: 33 (СѧÉú)
- ½ð±Ò: 1722.1
- É¢½ð: 50
- ºì»¨: 9
- Ìû×Ó: 153
- ÔÚÏß: 429.3Сʱ
- ³æºÅ: 4024019
- ×¢²á: 2015-08-16
- ÐÔ±ð: GG
- רҵ: ÊýѧÎïÀí
3Â¥2015-10-04 01:41:37
sciencejoy
гæ (ÖøÃûдÊÖ)
- Ó¦Öú: 436 (˶ʿ)
- ½ð±Ò: 11207.1
- ºì»¨: 90
- Ìû×Ó: 2974
- ÔÚÏß: 498Сʱ
- ³æºÅ: 802149
- ×¢²á: 2009-07-02
- ÐÔ±ð: GG
- רҵ: ¸ß·Ö×ÓÎïÀíÓë¸ß·Ö×ÓÎïÀí»¯
4Â¥2015-10-04 08:50:38














»Ø¸´´ËÂ¥