²é¿´: 1062  |  »Ø¸´: 25

lxsdkjdx

гæ (³õÈëÎÄ̳)

ÒýÓûØÌû:
19Â¥: Originally posted by ÔÂÖ»À¶ at 2015-08-18 10:56:56
Á½´¦ global a0 a1 a2 a3 a4 b0 b1 b2 b3 b4 ÖÐ
°ÑмÓÈëµÄa5 b5µÈ²¹ÉÏ£º
global a0 a1 a2 a3 a4 b0 b1 b2 b3 b4 a5 a6 b5 b6
Á½´¦ÒÔglobalÒý³öµÄÓï¾ä¶¼Òª²¹...

ÎÒÏÖÔÚ¶¼²»ÖªµÀ¶Ô²»¶Ô
21Â¥2015-08-18 11:02:38
ÒÑÔÄ   »Ø¸´´ËÂ¥   ¹Ø×¢TA ¸øTA·¢ÏûÏ¢ ËÍTAºì»¨ TAµÄ»ØÌû

ÔÂÖ»À¶

Ö÷¹ÜÇø³¤ (Ö°Òµ×÷¼Ò)

¡ï ¡ï ¡ï
Сľ³æ: ½ð±Ò+0.5, ¸ø¸öºì°ü£¬Ð»Ð»»ØÌû
lxsdkjdx: ½ð±Ò+2 2015-08-18 11:16:03
ÒýÓûØÌû:
21Â¥: Originally posted by lxsdkjdx at 2015-08-18 11:02:38
ÎÒÏÖÔÚ¶¼²»ÖªµÀ¶Ô²»¶Ô...

ÒªÑéÖ¤³ÌÐò£¬Êµ¼ÊÔËÐÐһϾͿÉÒÔÁË¡£
a0~a7 b0~b7ÊÇËæÒ⸳ֵµÄ£¬´úÂëÈçÏ£º
CODE:
function solve_odes
clear all;clc
global a0 a1 a2 a3 a4 b0 b1 b2 b3 b4 a5 a6 b5 b6 a7 b7

a0=0.1;
a1=0.2;
a2=0.3;
a3=0.4;
a4=0.5;
a5=0.6;
a6=0.7;
a7=0.8;

b0=0.7;
b1=0.6;
b2=0.5;
b3=0.4;
b4=0.3;
b5=0.2;
b6=0.1;
b7=0.1;



x0=[0 0 0 0 0 0];
tspan=linspace(0,2,100);

[t x]=ode45(@odes,tspan,x0);
[t x]
figure(1)
subplot(3,2,1);
plot(t,x(:,1));
subplot(3,2,2);
plot(t,x(:,2));
subplot(3,2,3);
plot(t,x(:,3));
subplot(3,2,4);
plot(t,x(:,4));

subplot(3,2,5);
plot(t,x(:,5));
subplot(3,2,6);
plot(t,x(:,6));

function f=odes(t,x)
global a0 a1 a2 a3 a4 b0 b1 b2 b3 b4 a5 a6 b5 b6 a7 b7

x1=x(1);
x2=x(2);
x3=x(3);
x4=x(4);
x5=x(5);
x6=x(6);


f(1)=x3;
f(2)=x4;
f(3)=a0+a1*x3^2+a2*x3*x4+a3*x4^2;
f(4)=b0+b1*x3^2+b2*x3*x4+b3*x4^2;
f(5)=a7+a4*x3^2+a5*x1+a6*x5;
f(6)=b7+b4*x3^2+b5*x1+b6*x5;

f=f';

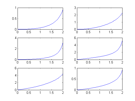
¼ÆËã½á¹û£º
CODE:
  
    0         0         0         0         0         0         0
    0.0202    0.0000    0.0001    0.0020    0.0141    0.0163    0.0020
    0.0404    0.0001    0.0006    0.0040    0.0283    0.0328    0.0041
    0.0606    0.0002    0.0013    0.0061    0.0424    0.0495    0.0062
    0.0808    0.0003    0.0023    0.0081    0.0566    0.0665    0.0083
    0.1010    0.0005    0.0036    0.0102    0.0708    0.0837    0.0105
    0.1212    0.0007    0.0051    0.0123    0.0850    0.1012    0.0127
    0.1414    0.0010    0.0070    0.0143    0.0992    0.1190    0.0150
    0.1616    0.0013    0.0092    0.0165    0.1135    0.1369    0.0173
    0.1818    0.0017    0.0116    0.0186    0.1278    0.1552    0.0196
    0.2020    0.0021    0.0143    0.0208    0.1421    0.1737    0.0220
    0.2222    0.0025    0.0173    0.0230    0.1564    0.1925    0.0244
    0.2424    0.0030    0.0206    0.0253    0.1708    0.2115    0.0268
    0.2626    0.0035    0.0242    0.0276    0.1853    0.2309    0.0293
    0.2828    0.0041    0.0281    0.0300    0.1998    0.2505    0.0318
    0.3030    0.0047    0.0323    0.0324    0.2144    0.2704    0.0344
    0.3232    0.0054    0.0368    0.0348    0.2290    0.2906    0.0370
    0.3434    0.0062    0.0416    0.0374    0.2437    0.3111    0.0397
    0.3636    0.0069    0.0466    0.0400    0.2585    0.3319    0.0424
    0.3838    0.0078    0.0520    0.0426    0.2733    0.3530    0.0451
    0.4040    0.0087    0.0577    0.0454    0.2882    0.3744    0.0479
    0.4242    0.0096    0.0636    0.0482    0.3032    0.3962    0.0508
    0.4444    0.0106    0.0699    0.0511    0.3183    0.4183    0.0537
    0.4646    0.0117    0.0765    0.0541    0.3336    0.4407    0.0566
    0.4848    0.0128    0.0834    0.0572    0.3489    0.4634    0.0596
    0.5051    0.0140    0.0906    0.0604    0.3643    0.4865    0.0627
    0.5253    0.0152    0.0981    0.0637    0.3798    0.5099    0.0658
    0.5455    0.0166    0.1060    0.0671    0.3955    0.5337    0.0689
    0.5657    0.0179    0.1141    0.0706    0.4113    0.5578    0.0722
    0.5859    0.0194    0.1226    0.0742    0.4272    0.5823    0.0754
    0.6061    0.0209    0.1314    0.0780    0.4433    0.6072    0.0788
    0.6263    0.0226    0.1405    0.0819    0.4595    0.6324    0.0822
    0.6465    0.0243    0.1499    0.0860    0.4759    0.6581    0.0856
    0.6667    0.0260    0.1597    0.0902    0.4925    0.6841    0.0892
    0.6869    0.0279    0.1698    0.0945    0.5092    0.7105    0.0927
    0.7071    0.0299    0.1803    0.0991    0.5261    0.7374    0.0964
    0.7273    0.0319    0.1911    0.1038    0.5433    0.7646    0.1001
    0.7475    0.0340    0.2022    0.1086    0.5606    0.7923    0.1039
    0.7677    0.0363    0.2137    0.1137    0.5781    0.8204    0.1078
    0.7879    0.0386    0.2256    0.1190    0.5959    0.8490    0.1117
    0.8081    0.0411    0.2378    0.1245    0.6139    0.8780    0.1157
    0.8283    0.0437    0.2504    0.1302    0.6322    0.9075    0.1198
    0.8485    0.0464    0.2634    0.1361    0.6508    0.9374    0.1240
    0.8687    0.0492    0.2767    0.1423    0.6696    0.9678    0.1283
    0.8889    0.0521    0.2904    0.1487    0.6887    0.9987    0.1326
    0.9091    0.0552    0.3045    0.1554    0.7082    1.0301    0.1370
    0.9293    0.0584    0.3190    0.1624    0.7279    1.0620    0.1415
    0.9495    0.0617    0.3340    0.1697    0.7480    1.0944    0.1462
    0.9697    0.0653    0.3493    0.1773    0.7685    1.1273    0.1509
    0.9899    0.0689    0.3650    0.1852    0.7894    1.1608    0.1557
    1.0101    0.0727    0.3812    0.1934    0.8107    1.1949    0.1606
    1.0303    0.0767    0.3978    0.2020    0.8324    1.2295    0.1656
    1.0505    0.0809    0.4148    0.2110    0.8545    1.2646    0.1707
    1.0707    0.0853    0.4323    0.2204    0.8772    1.3004    0.1759
    1.0909    0.0898    0.4502    0.2303    0.9004    1.3368    0.1813
    1.1111    0.0946    0.4687    0.2405    0.9241    1.3738    0.1867
    1.1313    0.0995    0.4876    0.2513    0.9483    1.4114    0.1923
    1.1515    0.1047    0.5070    0.2625    0.9732    1.4497    0.1980
    1.1717    0.1101    0.5269    0.2743    0.9988    1.4887    0.2039
    1.1919    0.1158    0.5474    0.2866    1.0250    1.5284    0.2099
    1.2121    0.1217    0.5683    0.2995    1.0520    1.5687    0.2160
    1.2323    0.1279    0.5899    0.3131    1.0797    1.6098    0.2224
    1.2525    0.1344    0.6120    0.3273    1.1083    1.6517    0.2288
    1.2727    0.1411    0.6347    0.3423    1.1378    1.6943    0.2355
    1.2929    0.1482    0.6579    0.3580    1.1683    1.7377    0.2423
    1.3131    0.1556    0.6819    0.3745    1.1997    1.7819    0.2493
    1.3333    0.1634    0.7064    0.3919    1.2323    1.8270    0.2565
    1.3535    0.1715    0.7317    0.4102    1.2661    1.8730    0.2639
    1.3737    0.1799    0.7576    0.4295    1.3011    1.9199    0.2715
    1.3939    0.1888    0.7842    0.4499    1.3375    1.9677    0.2794
    1.4141    0.1981    0.8116    0.4714    1.3754    2.0166    0.2875
    1.4343    0.2079    0.8398    0.4942    1.4149    2.0664    0.2959
    1.4545    0.2181    0.8688    0.5183    1.4562    2.1173    0.3045
    1.4747    0.2288    0.8987    0.5439    1.4993    2.1693    0.3135
    1.4949    0.2401    0.9294    0.5710    1.5445    2.2225    0.3228
    1.5152    0.2519    0.9611    0.5998    1.5919    2.2769    0.3324
    1.5354    0.2643    0.9937    0.6305    1.6417    2.3326    0.3424
    1.5556    0.2774    1.0274    0.6632    1.6943    2.3897    0.3528
    1.5758    0.2911    1.0622    0.6982    1.7499    2.4482    0.3637
    1.5960    0.3056    1.0982    0.7356    1.8087    2.5082    0.3750
    1.6162    0.3209    1.1353    0.7757    1.8713    2.5699    0.3869
    1.6364    0.3370    1.1738    0.8189    1.9379    2.6332    0.3994
    1.6566    0.3540    1.2137    0.8654    2.0089    2.6985    0.4125
    1.6768    0.3720    1.2550    0.9154    2.0848    2.7656    0.4263
    1.6970    0.3910    1.2979    0.9696    2.1663    2.8350    0.4409
    1.7172    0.4112    1.3425    1.0284    2.2541    2.9066    0.4563
    1.7374    0.4326    1.3890    1.0924    2.3492    2.9808    0.4728
    1.7576    0.4553    1.4375    1.1625    2.4527    3.0579    0.4904
    1.7778    0.4796    1.4882    1.2395    2.5656    3.1381    0.5093
    1.7980    0.5055    1.5413    1.3244    2.6895    3.2218    0.5297
    1.8182    0.5333    1.5971    1.4199    2.8283    3.3100    0.5521
    1.8384    0.5630    1.6558    1.5266    2.9828    3.4027    0.5767
    1.8586    0.5950    1.7177    1.6448    3.1532    3.5003    0.6033
    1.8788    0.6294    1.7830    1.7760    3.3421    3.6031    0.6325
    1.8990    0.6665    1.8524    1.9237    3.5541    3.7125    0.6647
    1.9192    0.7069    1.9264    2.0929    3.7963    3.8300    0.7009
    1.9394    0.7511    2.0058    2.2899    4.0782    3.9579    0.7425
    1.9596    0.7998    2.0916    2.5229    4.4115    4.0990    0.7909
    1.9798    0.8537    2.1850    2.8018    4.8102    4.2565    0.8480
    2.0000    0.9137    2.2870    3.1376    5.2907    4.4343    0.9161

ÔËÓÃ
¸½Í¼1.png

MATLAB¡¢MSСÎÊÌâ¡¢ÆÕͨÎÊÌâÇë·¢ÌûÇóÖú£¡Ê±¼ä¾«Á¦ÓÐÏÞ£¬Ë¡²»½ÓÊÜÎÞ³¥Ë½ÐÅÇóÖú¡£
22Â¥2015-08-18 11:13:26
ÒÑÔÄ   »Ø¸´´ËÂ¥   ¹Ø×¢TA ¸øTA·¢ÏûÏ¢ ËÍTAºì»¨ TAµÄ»ØÌû

lxsdkjdx

гæ (³õÈëÎÄ̳)

ÒýÓûØÌû:
22Â¥: Originally posted by ÔÂÖ»À¶ at 2015-08-18 11:13:26
ÒªÑéÖ¤³ÌÐò£¬Êµ¼ÊÔËÐÐһϾͿÉÒÔÁË¡£
a0~a7 b0~b7ÊÇËæÒ⸳ֵµÄ£¬´úÂëÈçÏ£º
function solve_odes
clear all;clc
global a0 a1 a2 a3 a4 b0 b1 b2 b3 b4 a5 a6 b5 b6 a7 b7

a0=0.1;
a1=0.2;
a2=0.3;
a3=0 ...

ллÄ㣡£¡
23Â¥2015-08-18 11:16:24
ÒÑÔÄ   »Ø¸´´ËÂ¥   ¹Ø×¢TA ¸øTA·¢ÏûÏ¢ ËÍTAºì»¨ TAµÄ»ØÌû

lxsdkjdx

гæ (³õÈëÎÄ̳)

ÒýÓûØÌû:
6Â¥: Originally posted by ÔÂÖ»À¶ at 2015-08-18 09:34:16
ÄǦµ1c ¦µ4cÉÏÃæÓÐÒ»µã¾ßÌå±í´ïʽÊÇʲô£¿
ÒªÇóx1,x2,x3,x4,x5,x6£¬6¸ö·½³Ì6¸öδ֪Òò±äÁ¿£¬¿ÉÒÔ¼ÆË㣬ǰÌáÊÇ·½³ÌÖÐÆäËû±äÁ¿ÖîÈç´øµãµÄ¦µ1c ¦µ4cÄÜд³öÓÃx1~x6±í´ïµÄʽ×Ó¡£...

¾ÍÊÇÓÃmatlab±à¸ö·½²¨
ÔËÓÃ-1
¾ÍÊÇÕâ¸öͼÐÎ

24Â¥2015-09-07 10:37:13
ÒÑÔÄ   »Ø¸´´ËÂ¥   ¹Ø×¢TA ¸øTA·¢ÏûÏ¢ ËÍTAºì»¨ TAµÄ»ØÌû

lxsdkjdx

гæ (³õÈëÎÄ̳)

Ëͺ컨һ¶ä
ÒýÓûØÌû:
2Â¥: Originally posted by ÔÂÖ»À¶ at 2015-08-18 09:22:02
¦µ1c ¦µ4cµÄ±í´ïʽÊÇʲô£¿

Ç×£¬ÔÚ²»£¬
ÎÒÏëÎÊÄãÒ»¸öÎÊÌ⣬¾ÍÊÇÎÒÒÔǰÎʹýÄãµÄÒ»¸öÎÊÌâ
»¹ÊÇÓÃmatlab½â¾öÁú¸ç¿âËþ·¨Çó½âËĽ×΢·Ö·½³ÌµÄ

ǰһ¶Îʱ¼äÕÒ¹¤×÷û×ö¿ÎÌâ
×î½ü¼¸ÌìÎÒÒ»Ö±ÔÚµ÷ÊÔ£¬¿ÉÊÇÏëµÃµ½Ò»¸ö½üËÆµÄÇúÏß
ÔËÓÃ-2
Õâ¸öÊÇÒÔǰÄã¸øÎÒ±àдµÄ³ÌÐò


ÔËÓÃ-3
Õâ¸öÊǽá¹û


ÔËÓÃ-4
Õâ¸öÊÇÄǸöÒªÇó½âµÄ·½³Ì


ÔËÓÃ-5
Õâ¸öÊÇÎÒÏëµÃµ½µÄ½á¹û


ÔËÓÃ-6
Õâ¸öÊÇÔ­·½³Ì¡£

25Â¥2015-12-07 19:35:35
ÒÑÔÄ   »Ø¸´´ËÂ¥   ¹Ø×¢TA ¸øTA·¢ÏûÏ¢ ËÍTAºì»¨ TAµÄ»ØÌû

lxsdkjdx

гæ (³õÈëÎÄ̳)

ÒýÓûØÌû:
2Â¥: Originally posted by ÔÂÖ»À¶ at 2015-08-18 09:22:02
¦µ1c ¦µ4cµÄ±í´ïʽÊÇʲô£¿

¾ÍÊÇÕâÒ»ÆÚµÄ
26Â¥2015-12-08 09:58:45
ÒÑÔÄ   »Ø¸´´ËÂ¥   ¹Ø×¢TA ¸øTA·¢ÏûÏ¢ ËÍTAºì»¨ TAµÄ»ØÌû
Ïà¹Ø°æ¿éÌø×ª ÎÒÒª¶©ÔÄÂ¥Ö÷ lxsdkjdx µÄÖ÷Ìâ¸üÐÂ
×î¾ßÈËÆøÈÈÌûÍÆ¼ö [²é¿´È«²¿] ×÷Õß »Ø/¿´ ×îºó·¢±í
[¿¼ÑÐ] Ò»Ö¾Ô¸070300Õã´ó»¯Ñ§358·Ö£¬Çóµ÷¼Á£¡ +4 ËÖËÖÓã.. 2026-03-21 4/200 2026-03-23 08:12 by Iveryant
[¿¼ÑÐ] ÉúÎïѧ071000 329·ÖÇóµ÷¼Á +5 ÎÒ°®ÉúÎïÉúÎﰮΠ2026-03-17 5/250 2026-03-22 16:42 by tcx007
[¿¼ÑÐ] Ò»Ö¾Ô¸ÖÐÄÏ»¯Ñ§£¨0703£©×Ü·Ö337Çóµ÷¼Á +9 niko- 2026-03-19 10/500 2026-03-22 16:08 by ColorlessPI
[¿¼ÑÐ] 260Çóµ÷¼Á +3 ÖìÜÆÁÕ 2026-03-20 4/200 2026-03-22 15:12 by ÖìÜÆÁÕ
[¿¼ÑÐ] 318Çóµ÷¼Á +4 plumÀî×Ó 2026-03-21 7/350 2026-03-22 14:17 by ColorlessPI
[¿¼ÑÐ] 384Çóµ÷¼Á +3 ×Óϵ²© 2026-03-22 4/200 2026-03-22 11:04 by ²«»÷518
[¿¼ÑÐ] ²ÄÁÏѧ˶301·ÖÇóµ÷¼Á +7 Liyouyumairs 2026-03-21 7/350 2026-03-21 22:31 by peike
[¿¼ÑÐ] »¯Ñ§µ÷¼Á +5 yzysaa 2026-03-21 5/250 2026-03-21 22:12 by peike
[¿¼ÑÐ] ²ÄÁÏÓ뻯¹¤£¨0856£©304ÇóBÇøµ÷¼Á +3 Çñgl 2026-03-20 7/350 2026-03-21 19:05 by 15709483992
[¿¼ÑÐ] ¡¾¿¼Ñе÷¼Á¡¿»¯Ñ§×¨Òµ 281·Ö£¬Ò»Ö¾Ô¸ËÄ´¨´óѧ£¬³ÏÐÄÇóµ÷¼Á +11 ³Ô³Ô³Ô²ÅÓÐÒâÒå 2026-03-19 11/550 2026-03-21 18:23 by ѧԱ8dgXkO
[¿¼ÑÐ] ³õʼ318·ÖÇóµ÷¼Á£¨Óй¤×÷¾­Ñ飩 +3 1911236844 2026-03-17 3/150 2026-03-21 02:33 by JourneyLucky
[¿¼ÑÐ] 332Çóµ÷¼Á +4 ydfyh 2026-03-17 4/200 2026-03-21 02:20 by JourneyLucky
[¿¼ÑÐ] Ò»Ö¾Ô¸ Î÷±±´óѧ £¬070300»¯Ñ§Ñ§Ë¶£¬×Ü·Ö287£¬Ë«·ÇÒ»±¾£¬Çóµ÷¼Á¡£ +3 ³¿»èÏßÓëÐǺ£ 2026-03-18 3/150 2026-03-21 00:46 by JourneyLucky
[¿¼ÑÐ] 295Çóµ÷¼Á +4 Ò»Ö¾Ô¸¾©Çø211 2026-03-18 6/300 2026-03-20 23:41 by JourneyLucky
[¿¼ÑÐ] ÖÐÄÏ´óѧ»¯Ñ§Ñ§Ë¶337Çóµ÷¼Á +3 niko- 2026-03-19 6/300 2026-03-20 21:58 by luoyongfeng
[¿¼ÑÐ] 290Çóµ÷¼Á +7 ^O^Ø¿ 2026-03-19 7/350 2026-03-20 21:43 by JourneyLucky
[¿¼ÑÐ] AÇøÏß²ÄÁÏѧµ÷¼Á +5 ÖÜÖÜÎÞ¼« 2026-03-20 5/250 2026-03-20 21:33 by laoshidan
[¿¼ÑÐ] ¹ãÎ÷´óѧ¼ÒÇÝÒÅ´«ÓýÖÖ¿ÎÌâ×é2026Äê˶ʿÕÐÉú£¨½ÓÊÕ¼ÆËã»úרҵµ÷¼Á£© +3 123°¢±ê 2026-03-17 3/150 2026-03-20 15:58 by ·ÉÐÐçù
[¿¼ÑÐ] ²ÄÁÏÓ뻯¹¤Çóµ÷¼Á +7 Ϊѧ666 2026-03-16 7/350 2026-03-19 14:48 by ¾¡Ë´Ò¢1
[¿¼ÑÐ] ±¾¿ÆÖ£ÖÝ´óѧÎïÀíѧԺ£¬Ò»Ö¾Ô¸»ª¿Æ070200ѧ˶£¬346Çóµ÷¼Á +4 ÎÒ²»ÊÇÒ»¸ù´Ð 2026-03-18 4/200 2026-03-19 09:11 by ¸¡ÔÆ166
ÐÅÏ¢Ìáʾ
ÇëÌî´¦ÀíÒâ¼û