| 查看: 1804 | 回复: 14 | |||
[求助]
用MATLAB求解一个超越方程已有1人参与
|
|||
|
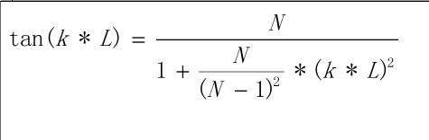
tan(k*L)=(k*L)/[1+N/(N-1)^2*(k*L)^2]我整理方程得到了这种方程,不会解 麻烦高手们把Matlab程序等解题过程写的详细一些!谢谢!我最后要求的结果是k*L=? 1.jpg |
» 收录本帖的淘帖专辑推荐
matlab编程绘图 |
» 猜你喜欢
谈谈两天一夜的“延安行”
已经有3人回复
之前让一硕士生水了7个发明专利,现在这7个获批发明专利的维护费可从哪儿支出哈?
已经有11人回复
氨基封端PDMS和HDI反应快速固化
已经有10人回复
博士读完未来一定会好吗
已经有37人回复
论文投稿求助
已经有4人回复
Applied Surface Science 这个期刊。有哪位虫友投过的能把word模板发给我参考一下嘛
已经有3人回复
投稿精细化工
已经有6人回复
博士申请都是内定的吗?
已经有9人回复
心脉受损
已经有8人回复
» 本主题相关价值贴推荐,对您同样有帮助:
用matlab求解一偏微分方程,求助!
已经有1人回复
初学新手求教。求用Matlab求解一个非线性回归,或请指点门路。
已经有11人回复
现在用MATLAB求解一个循环后画出曲线遇到问题,求大神指点!!
已经有7人回复
用matlab求解复数方程
已经有5人回复
matlab 求解 一个方程
已经有6人回复
用matlab求解一个隐三角函数方程
已经有10人回复
请教用matlab求解一个非线性偏微分方程组的数值解
已经有0人回复
用matlab 求解参数方程组
已经有8人回复
用matlab求解一个非线性方程组的解
已经有4人回复
用matlab求解矩阵方程
已经有5人回复
用matlab求解积分问题
已经有3人回复
关于用Matlab求解一方程组
已经有1人回复
请教用matlab求解一个非线性偏微分方程组的数值解
已经有8人回复
高手进,用matlab求解一维抛物方程的初边值问题
已经有16人回复
用Matlab求解一个非线性方程组(同伦法)
已经有2人回复
如何用Matlab求解一阶导数和二阶导数等于0时的值
已经有1人回复
用Matlab求解方程
已经有6人回复
9楼2015-08-12 12:41:06
月只蓝
主管区长 (职业作家)
-

专家经验: +1059 - 应助: 1712 (讲师)
- 贵宾: 8.888
- 金币: 68121.7
- 散金: 1938
- 红花: 443
- 沙发: 4
- 帖子: 4373
- 在线: 3291.4小时
- 虫号: 1122189
- 注册: 2010-10-14
- 专业: 宇宙学
- 管辖: 计算模拟区

2楼2015-08-12 11:25:56
3楼2015-08-12 12:14:44
月只蓝
主管区长 (职业作家)
-

专家经验: +1059 - 应助: 1712 (讲师)
- 贵宾: 8.888
- 金币: 68121.7
- 散金: 1938
- 红花: 443
- 沙发: 4
- 帖子: 4373
- 在线: 3291.4小时
- 虫号: 1122189
- 注册: 2010-10-14
- 专业: 宇宙学
- 管辖: 计算模拟区

4楼2015-08-12 12:20:07
5楼2015-08-12 12:27:09
6楼2015-08-12 12:30:33
月只蓝
主管区长 (职业作家)
-

专家经验: +1059 - 应助: 1712 (讲师)
- 贵宾: 8.888
- 金币: 68121.7
- 散金: 1938
- 红花: 443
- 沙发: 4
- 帖子: 4373
- 在线: 3291.4小时
- 虫号: 1122189
- 注册: 2010-10-14
- 专业: 宇宙学
- 管辖: 计算模拟区

7楼2015-08-12 12:33:10
8楼2015-08-12 12:36:23
月只蓝
主管区长 (职业作家)
-

专家经验: +1059 - 应助: 1712 (讲师)
- 贵宾: 8.888
- 金币: 68121.7
- 散金: 1938
- 红花: 443
- 沙发: 4
- 帖子: 4373
- 在线: 3291.4小时
- 虫号: 1122189
- 注册: 2010-10-14
- 专业: 宇宙学
- 管辖: 计算模拟区

10楼2015-08-12 12:49:41













回复此楼