| 查看: 2636 | 回复: 5 | |
| 当前只显示满足指定条件的回帖,点击这里查看本话题的所有回帖 | |
tianshiamli金虫 (正式写手)
|
[求助]
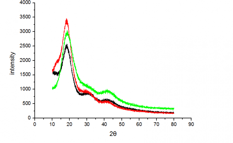
高分子材料的XRD图,求分析 已有2人参与
|
|
|
|
骆驼刺木虫 (著名写手)
|
|
|
3楼2015-04-21 15:47:01
|
|
| 查看全部 6 个回答 | |
arcticsnow木虫 (著名写手)
|
|
|
2楼2015-04-21 09:16:53
|
|
tianshiamli金虫 (正式写手)
|
|
|
4楼2015-04-23 16:53:51
|
|
tianshiamli金虫 (正式写手)
|
|
|
5楼2015-04-23 17:02:19
|
|














回复此楼


5