版块导航
正在加载中...
客户端APP下载
论文辅导
申博辅导
登录
注册
帖子
帖子
用户
本版
应《网络安全法》要求,自2017年10月1日起,未进行实名认证将不得使用互联网跟帖服务。为保障您的帐号能够正常使用,请尽快对帐号进行手机号验证,感谢您的理解与支持!
24小时热门版块排行榜
>
论坛更新日志
(581)
>
虫友互识
(52)
>
硕博家园
(17)
>
导师招生
(14)
>
教师之家
(14)
>
博后之家
(11)
>
考博
(10)
>
论文投稿
(10)
>
公派出国
(7)
>
基金申请
(6)
>
考研
(6)
>
休闲灌水
(6)
>
论文道贺祈福
(5)
>
找工作
(3)
>
版块工场
(1)
>
职场人生
(1)
小木虫论坛-学术科研互动平台
»
专业学科区
»
数学
»
基础数学
»
再次求助傅立叶变换大神
5
1/1
返回列表
查看: 1241 | 回复: 9
只看楼主
@他人
存档
新回复提醒
(忽略)
收藏
在APP中查看
当前只显示满足指定条件的回帖,点击这里查看本话题的所有回帖
hppdyx
木虫
(知名作家)
应助: 60
(初中生)
金币: 3242.5
散金: 1145
红花: 48
帖子: 6010
在线: 297.6小时
虫号: 2428506
注册: 2013-04-21
性别: GG
专业: 岩土与基础工程
[
求助
]
再次求助傅立叶变换大神
已有3人参与
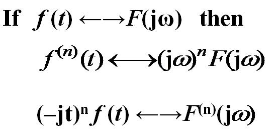
如图
@
peterflyer
@
feixiaolin
回复此楼
» 猜你喜欢
投稿Elsevier的Neoplasia杂志,到最后选publishing options时页面空白,不能完成投稿
已经有22人回复
申请26博士
已经有5人回复
职称评审没过,求安慰
已经有22人回复
垃圾破二本职称评审标准
已经有15人回复
EST投稿状态问题
已经有7人回复
毕业后当辅导员了,天天各种学生超烦
已经有4人回复
聘U V热熔胶研究人员
已经有10人回复
求助文献
已经有3人回复
投稿返修后收到这样的回复,还有希望吗
已经有8人回复
三无产品还有机会吗
已经有6人回复
» 本主题相关价值贴推荐,对您同样有帮助:
关于图像傅里叶变换的理解的问题
已经有11人回复
请问这个傅里叶变换图该 如何分析
已经有3人回复
matlab中利用FFT进行Fourier变换后真实频率f值计算问题
已经有10人回复
求问FFT变换是怎么整的?
已经有9人回复
请教一个非常简单的拉式变换
已经有9人回复
求大神帮忙解答!
已经有8人回复
用origin做FFT,结果没有频谱信息,怎么回事?
已经有9人回复
连续傅立叶变换怎样过渡到离散傅立叶变换进行计算?
已经有8人回复
想测dna的红外光谱该怎么做
已经有4人回复
关于matlab中fft之后变换值的单位问题
已经有6人回复
求助一个傅立叶余弦逆变换
已经有26人回复
关于matlab进行傅里叶变换和逆变换的程序,求大神指导!
已经有9人回复
怎么做傅里叶变换
已经有10人回复
求助大神关于DigitalMicrograph 软件的一个问题
已经有3人回复
如何理解拉普拉斯变换,傅立叶变换的
已经有10人回复
傅立叶变换的物理意义
已经有9人回复
matlab 傅里叶变换 频谱分析
已经有12人回复
【求助】傅立叶变换红外光谱仪测定溶液该如何进行试样的制备
已经有10人回复
【求助】紧急求助:三角函数的傅里叶变换
已经有14人回复
【求助】傅立叶变换及反变换
已经有4人回复
【求助】傅立叶红外光谱分析试样的要求
已经有9人回复
【求助】如何用简洁的语言解释本征态
已经有28人回复
不以风骚惊天下,但求淫荡动世人
1楼
2014-12-28 16:10:44
已阅
回复此楼
关注TA
给TA发消息
送TA红花
TA的回帖
hppdyx
木虫
(知名作家)
应助: 60
(初中生)
金币: 3242.5
散金: 1145
红花: 48
帖子: 6010
在线: 297.6小时
虫号: 2428506
注册: 2013-04-21
性别: GG
专业: 岩土与基础工程
引用回帖:
2楼
:
Originally posted by
leedobb
at 2014-12-28 16:20:00
\frac{\partial^2 [\omega^2f(\omega)}{\partial \omega^2}
好像是这样,不过是不是差了一个负号
赞
一下
回复此楼
高级回复
不以风骚惊天下,但求淫荡动世人
3楼
2014-12-28 16:24:12
已阅
回复此楼
关注TA
给TA发消息
送TA红花
TA的回帖
查看全部 10 个回答
leedobb
金虫
(正式写手)
数学EPI: 1
应助: 77
(初中生)
金币: 152.4
散金: 646
红花: 15
帖子: 856
在线: 270.4小时
虫号: 1199535
注册: 2011-02-06
性别: GG
专业: 高分子科学
【答案】应助回帖
★ ★ ★ ★ ★
感谢参与,应助指数 +1
hppdyx: 金币+5
2014-12-28 16:24:18
赞
一下
回复此楼
有一天,我打了个瞌睡就到了这里,但我知道我掉入了时光的循环中,虽得以永生,但只有第一个循环有意义。
2楼
2014-12-28 16:20:00
已阅
回复此楼
关注TA
给TA发消息
送TA红花
TA的回帖
feixiaolin
荣誉版主
(文坛精英)
专家经验: +518
应助: 942
(博后)
贵宾: 1.275
金币: 3430
散金: 58785
红花: 532
沙发: 11
帖子: 24215
在线: 2601.8小时
虫号: 2139575
注册: 2012-11-21
专业: 光学信息获取与处理
管辖:
数学
第一个问题,看: 图2.png
先求 FT[f ''(t)],然后,将f ''(t) 视同 f(t),再求 t^2*f ''(t)
2.PNG
第二个问题,将参考链接
http://wenku.baidu.com/link?url= ... y6mnASLRxFJ1MPjRtXK
http://wenku.baidu.com/view/ca19024901f69e3143329452.html
赞
一下
回复此楼
» 本帖已获得的红花(最新10朵)
hppdyx
4楼
2014-12-28 17:16:48
已阅
回复此楼
关注TA
给TA发消息
送TA红花
TA的回帖
lsp1005
木虫
(正式写手)
应助: 76
(初中生)
金币: 1697.4
红花: 2
帖子: 911
在线: 69小时
虫号: 3548729
注册: 2014-11-20
性别: GG
专业: 固体力学
【答案】应助回帖
感谢参与,应助指数 +1
Bessel方程是没有解析解的,只能用贝塞尔多项式去逼近他
赞
一下
回复此楼
刘三皮
5楼
2014-12-28 19:19:23
已阅
回复此楼
关注TA
给TA发消息
送TA红花
TA的回帖
查看全部 10 个回答
如果回帖内容含有宣传信息,请如实选中。否则帐号将被全论坛禁言
普通表情
龙
兔
虎
猫
百度网盘
|
360云盘
|
千易网盘
|
华为网盘
在新窗口页面中打开自己喜欢的网盘网站,将文件上传后,然后将下载链接复制到帖子内容中就可以了。
信息提示
关闭
请填处理意见
关闭
确定