| 查看: 2479 | 回复: 13 | |||
[求助]
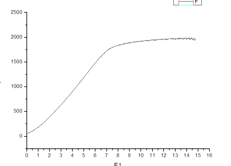
将压缩曲线导入origin中,怎么才能精确找到 σ 0.2,以及 σ max 已有1人参与
|
|||
| 我知道画平行线的方法,但是每次都不一样,虽然差的不多,但是我想找到一个准确值,怎么办?大神指点 |
» 收录本帖的淘帖专辑推荐
百宝箱 |
» 猜你喜欢
体制内长辈说体制内绝大部分一辈子在底层,如同你们一样大部分普通教师忙且收入低
已经有15人回复
面上可以超过30页吧?
已经有6人回复
网上报道青年教师午睡中猝死、熬夜猝死的越来越多,主要哪些原因引起的?
已经有4人回复
为什么中国大学工科教授们水了那么多所谓的顶会顶刊,但还是做不出宇树机器人?
已经有10人回复
版面费该交吗
已经有12人回复
“人文社科而论,许多学术研究还没有达到民国时期的水平”
已经有5人回复
什么是人一生最重要的?
已经有4人回复
» 本主题相关价值贴推荐,对您同样有帮助:

phoenix7573
金虫 (著名写手)
- MM-EPI: 1
- 应助: 231 (大学生)
- 金币: 2224.2
- 散金: 4
- 红花: 35
- 帖子: 1108
- 在线: 484小时
- 虫号: 716092
- 注册: 2009-03-06
- 专业: 金属材料的力学行为
2楼2014-12-16 09:30:43

3楼2014-12-16 13:17:08

4楼2014-12-16 13:30:42
phoenix7573
金虫 (著名写手)
- MM-EPI: 1
- 应助: 231 (大学生)
- 金币: 2224.2
- 散金: 4
- 红花: 35
- 帖子: 1108
- 在线: 484小时
- 虫号: 716092
- 注册: 2009-03-06
- 专业: 金属材料的力学行为
5楼2014-12-16 13:40:29
phoenix7573
金虫 (著名写手)
- MM-EPI: 1
- 应助: 231 (大学生)
- 金币: 2224.2
- 散金: 4
- 红花: 35
- 帖子: 1108
- 在线: 484小时
- 虫号: 716092
- 注册: 2009-03-06
- 专业: 金属材料的力学行为
6楼2014-12-16 13:52:41

7楼2014-12-16 14:16:52
phoenix7573
金虫 (著名写手)
- MM-EPI: 1
- 应助: 231 (大学生)
- 金币: 2224.2
- 散金: 4
- 红花: 35
- 帖子: 1108
- 在线: 484小时
- 虫号: 716092
- 注册: 2009-03-06
- 专业: 金属材料的力学行为
8楼2014-12-16 15:37:19
phoenix7573
金虫 (著名写手)
- MM-EPI: 1
- 应助: 231 (大学生)
- 金币: 2224.2
- 散金: 4
- 红花: 35
- 帖子: 1108
- 在线: 484小时
- 虫号: 716092
- 注册: 2009-03-06
- 专业: 金属材料的力学行为
9楼2014-12-16 15:46:47

10楼2014-12-16 17:27:51













回复此楼