| 查看: 1804 | 回复: 6 | |||
| 当前只显示满足指定条件的回帖,点击这里查看本话题的所有回帖 | |||
dahuajia铁虫 (初入文坛)
|
[求助]
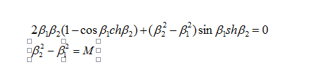
求解二元超越方程组 已有1人参与
|
||
|
|
|||
lsp1005木虫 (正式写手)
|
【答案】应助回帖
★ ★ ★ ★ ★ ★ ★ ★ ★ ★ ★ ★ ★ ★ ★ ★ ★ ★ ★ ★
感谢参与,应助指数 +1 dahuajia: 金币+20 2014-12-14 16:00:48
|
||
![]() |
|||
|
3楼2014-12-14 12:41:02
|
|
||
| 查看全部 7 个回答 | |||
王者归来.木虫 (职业作家)
|
|||
|
2楼2014-12-14 11:26:04
|
|
||
peterflyer
|
|||
|
4楼2014-12-14 19:42:26
|
|
||
dahuajia铁虫 (初入文坛)
|
|||
|
5楼2014-12-15 09:43:06
|
|
||














回复此楼

