24小时热门版块排行榜    

北京石油化工学院2026年研究生招生接收调剂公告
查看: 1524  |  回复: 10

jian871211

兑换贵宾

优秀!!有木有!!!优秀!!有木有!!!优秀!!有木有!!!优秀!!有木有!!!

引用回帖:
10楼: Originally posted by andymang at 2014-10-26 11:38:43
你需要把结构贴出来的

非常感谢!
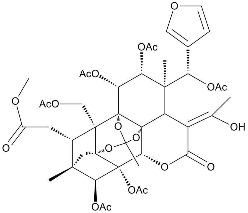
有什么好的反应方法只打开环六元内酯环而不影响其他酯键?
untitled.jpg

11楼2014-10-28 09:11:09
已阅   回复此楼   关注TA 给TA发消息 送TA红花 TA的回帖
相关版块跳转 我要订阅楼主 jian871211 的主题更新
普通表情 高级回复 (可上传附件)
最具人气热帖推荐 [查看全部] 作者 回/看 最后发表
[考研] 求调剂:一志愿:南京大学 专业:0705 总分320 ,本科985,四六级已过 +3 lfy760306 2026-03-31 3/150 2026-04-01 01:57 by Creta
[考研] 0856材料与化工调剂,339 +9 10213207 2026-03-31 9/450 2026-04-01 00:49 by fmesaito
[考研] 考研调剂 +6 Amber00 2026-03-31 6/300 2026-04-01 00:42 by fmesaito
[考研] 复试调剂 +7 双马尾痞老板2 2026-03-31 7/350 2026-03-31 19:49 by Dyhoer
[考研] 考研材料工程351分调剂 +4 整个好的 2026-03-31 4/200 2026-03-31 19:36 by 难0121
[考研] 070300化学求调剂 +12 小黄鸭宝 2026-03-30 12/600 2026-03-31 19:15 by 253863592
[考研] 375求调剂 +7 雨夏整夜 2026-03-29 7/350 2026-03-31 18:52 by xhai2011
[考研] 070300一志愿211,312分求调剂院校 +12 小黄鸭宝 2026-03-30 12/600 2026-03-31 17:53 by 544594351
[考研] 考研生物与医药调剂 +6 铁憨憨123425 2026-03-31 6/300 2026-03-31 17:48 by 544594351
[考研] 生医工0831调剂求推荐 +4 小熊睿睿_s 2026-03-27 6/300 2026-03-31 17:12 by 记事本2026
[考研] 材料与化工272求调剂 +25 阿斯蒂芬2004 2026-03-28 25/1250 2026-03-31 16:27 by hypershenger
[考研] 调剂310 +13 温柔的晚安 2026-03-25 14/700 2026-03-31 13:03 by 记事本2026
[考研] 297 地理学070500 复试求调剂 +3 小圆圈圈ooo 2026-03-30 3/150 2026-03-30 21:05 by 余震yz
[考研] 一志愿南昌大学324求调剂 +9 hanamiko 2026-03-27 9/450 2026-03-30 20:10 by 无际的草原
[考研] 283求调剂(080500) +14 A child 2026-03-27 14/700 2026-03-30 12:06 by 探123
[考研] 311求调剂 +10 lin0039 2026-03-26 10/500 2026-03-30 10:26 by herarysara
[考研] 081200-11408-276学硕求调剂 +6 崔wj 2026-03-26 6/300 2026-03-29 01:11 by hanserlol
[考研] 286求调剂 +12 PolarBear11 2026-03-26 12/600 2026-03-28 12:14 by zllcz
[硕博家园] 北京林业大学硕导招生广告 +6 kongweilin 2026-03-26 8/400 2026-03-27 10:18 by FF_16
[考研] 081200-11408-276学硕求调剂 +4 崔wj 2026-03-26 4/200 2026-03-27 08:04 by chemisry
信息提示
请填处理意见