版块导航
正在加载中...
客户端APP下载
论文辅导
申博辅导
登录
注册
帖子
帖子
用户
本版
应《网络安全法》要求,自2017年10月1日起,未进行实名认证将不得使用互联网跟帖服务。为保障您的帐号能够正常使用,请尽快对帐号进行手机号验证,感谢您的理解与支持!
24小时热门版块排行榜
>
论坛更新日志
(4430)
>
文献求助
(475)
>
导师招生
(314)
>
虫友互识
(190)
>
硕博家园
(187)
>
考博
(161)
>
博后之家
(98)
>
招聘信息布告栏
(93)
>
休闲灌水
(91)
>
论文投稿
(82)
>
考研
(66)
>
绿色求助(高悬赏)
(62)
>
公派出国
(52)
>
教师之家
(50)
>
论文道贺祈福
(43)
>
基金申请
(40)
小木虫论坛-学术科研互动平台
»
学术交流区
»
论文投稿
»
论文写作
»
如何达到附件图片里的公式效果
1
1/1
返回列表
查看: 234 | 回复: 0
只看楼主
@他人
存档
新回复提醒
(忽略)
收藏
在APP中查看
vect
至尊木虫
(著名写手)
应助: 171
(高中生)
金币: 18942.5
散金: 31
红花: 19
帖子: 2033
在线: 938.3小时
虫号: 545022
注册: 2008-04-13
性别: GG
专业: 数学
[
求助
]
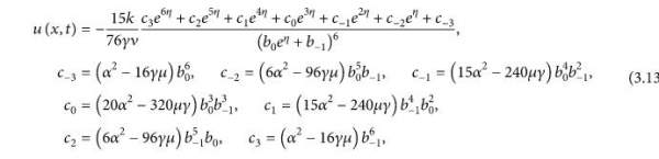
如何达到附件图片里的公式效果
我用multline的话,发现
\begin{multline}
公式1\\
公式2\\
公式3\\
\end{multline}
公式2居中,公式3右对齐,怎么样才能使这三个公式一致左对齐?
谢谢
360截图20131011165034468.jpg
回复此楼
» 猜你喜欢
2025冷门绝学什么时候出结果
已经有5人回复
Bioresource Technology期刊,第一次返修的时候被退回好几次了
已经有7人回复
真诚求助:手里的省社科项目结项要求主持人一篇中文核心,有什么渠道能发核心吗
已经有8人回复
寻求一种能扛住强氧化性腐蚀性的容器密封件
已经有5人回复
请问哪里可以有青B申请的本子可以借鉴一下。
已经有4人回复
孩子确诊有中度注意力缺陷
已经有14人回复
请问下大家为什么这个铃木偶联几乎不反应呢
已经有5人回复
请问有评职称,把科研教学业绩算分排序的高校吗
已经有5人回复
天津工业大学郑柳春团队欢迎化学化工、高分子化学或有机合成方向的博士生和硕士生加入
已经有4人回复
康复大学泰山学者周祺惠团队招收博士研究生
已经有6人回复
1楼
2013-10-11 16:53:42
已阅
回复此楼
关注TA
给TA发消息
送TA红花
TA的回帖
智能机器人
Robot
(super robot)
我们都爱小木虫
找到一些相关的精华帖子,希望有用哦~
什么叫做可编辑的图片
已经有9人回复
表格和图片题注单独作为附件上传,生成的pdf里面没有怎么办
已经有3人回复
公式变图片问题,新见解
已经有7人回复
在docx下做的公式在doc变成很难看的图片(杂志社要求doc)。。怎么解决
已经有7人回复
求助:在word里面怎样对图片的公式进行竖直(纵坐标)操作?
已经有7人回复
【excel】请教如何将附件中数字转换成可以计算的格式?
已经有12人回复
麻烦把把附件的PDF文件转成WORD 文件(不是图片的,是可以编辑的)
已经有18人回复
公式和图片都没有转成jpg格式,不知道能不能通过形式审查?
已经有3人回复
公式怎么转成jpg图片?
已经有9人回复
公式编辑器编辑的公式,在WORD排版后的公式变成图片,怎么办啊?
已经有6人回复
请问附件图片是什么大气污染的情况
已经有8人回复
origin散点图出错
已经有8人回复
急求matlab级数求和及其画图显示(公式见图片)
已经有8人回复
怎样把图书上的扫描图片(JPG格式)整成编辑要求的 矢量图!
已经有17人回复
为什么我把 eps格式的图片插入到 word中 看起来特别不清楚?
已经有5人回复
点击这里搜索更多相关资源
科研从小木虫开始,人人为我,我为人人
相关版块跳转
论文投稿
SCI期刊点评
中文期刊点评
论文道贺祈福
论文翻译
基金申请
学术会议
会议与征稿布告栏
我要订阅楼主
vect
的主题更新
1
1/1
返回列表
如果回帖内容含有宣传信息,请如实选中。否则帐号将被全论坛禁言
普通表情
龙
兔
虎
猫
百度网盘
|
360云盘
|
千易网盘
|
华为网盘
在新窗口页面中打开自己喜欢的网盘网站,将文件上传后,然后将下载链接复制到帖子内容中就可以了。
信息提示
关闭
请填处理意见
关闭
确定