版块导航
正在加载中...
客户端APP下载
论文辅导
申博辅导
登录
注册
帖子
帖子
用户
本版
应《网络安全法》要求,自2017年10月1日起,未进行实名认证将不得使用互联网跟帖服务。为保障您的帐号能够正常使用,请尽快对帐号进行手机号验证,感谢您的理解与支持!
24小时热门版块排行榜
>
论坛更新日志
(3152)
>
虫友互识
(381)
>
文献求助
(269)
>
导师招生
(249)
>
硕博家园
(61)
>
教师之家
(59)
>
休闲灌水
(59)
>
招聘信息布告栏
(54)
>
绿色求助(高悬赏)
(54)
>
论文投稿
(45)
>
博后之家
(40)
>
考博
(33)
>
考研
(25)
>
基金申请
(22)
>
论文道贺祈福
(17)
>
公派出国
(17)
小木虫论坛-学术科研互动平台
»
专业学科区
»
数学
»
基础数学
»
2阶微分方程, 带自然指数e
5
2/1
返回列表
查看: 2614 | 回复: 11
只看楼主
@他人
存档
新回复提醒
(忽略)
收藏
在APP中查看
当前只显示满足指定条件的回帖,点击这里查看本话题的所有回帖
shuqi0521
铁虫
(小有名气)
应助: 0
(幼儿园)
金币: 2262.7
散金: 47
帖子: 159
在线: 317.8小时
虫号: 2359171
注册: 2013-03-19
专业: 地下空间工程
[
求助
]
2阶微分方程, 带自然指数e
已有1人参与
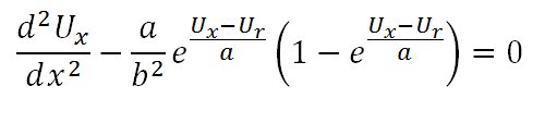
遇到一个二阶微分公式,带自然指数的,不知道如何求解。我翻过了那些数学书,都没有这一类的。请教各位,像这种公式,能不能求解,如果能,我该去看那个参考书?在此先谢过。
Snap1.png
回复此楼
» 猜你喜欢
带资进组求博导收留
已经有14人回复
求个博导看看
已经有18人回复
自荐读博
已经有6人回复
投稿Elsevier的杂志(返修),总是在选择OA和subscription界面被踢皮球
已经有5人回复
青基代表作,AAAI之类的A会的special track在国内认可度高吗?还是归为workshop之流?
已经有3人回复
上海工程技术大学【激光智能制造】课题组招收硕士
已经有6人回复
上海工程技术大学张培磊教授团队招收博士生
已经有4人回复
求助院士们,这个如何合成呀
已经有4人回复
临港实验室与上科大联培博士招生1名
已经有9人回复
写了一篇“相变储能技术在冷库中应用”的论文,论文内容以实验为主,投什么期刊合适?
已经有6人回复
1楼
2013-10-08 18:07:11
已阅
回复此楼
关注TA
给TA发消息
送TA红花
TA的回帖
终之太刀—晓
铁杆木虫
(著名写手)
数学爱好者
数学EPI: 7
应助: 282
(大学生)
贵宾: 0.018
金币: 2934.2
散金: 5589
红花: 53
帖子: 1809
在线: 401.6小时
虫号: 3469007
注册: 2014-10-12
性别:
MM
专业: 偏微分方程
【答案】应助回帖
这么厉害的非线性项啦,只能想到用数值解来解决了。
赞
一下
回复此楼
高级回复
PreferenceforMathematics
12楼
2014-10-30 18:45:41
已阅
回复此楼
关注TA
给TA发消息
送TA红花
TA的回帖
查看全部 12 个回答
feixiaolin
荣誉版主
(文坛精英)
专家经验: +518
应助: 942
(博后)
贵宾: 1.275
金币: 3430
散金: 58785
红花: 532
沙发: 11
帖子: 24215
在线: 2601.8小时
虫号: 2139575
注册: 2012-11-21
专业: 光学信息获取与处理
管辖:
数学
【答案】应助回帖
感谢参与,应助指数 +1
变量代换,取y=(Ux-Ur)/a, 可以啦。
赞
一下
回复此楼
2楼
2013-10-08 19:22:42
已阅
回复此楼
关注TA
给TA发消息
送TA红花
TA的回帖
shuqi0521
铁虫
(小有名气)
应助: 0
(幼儿园)
金币: 2262.7
散金: 47
帖子: 159
在线: 317.8小时
虫号: 2359171
注册: 2013-03-19
专业: 地下空间工程
引用回帖:
2楼
:
Originally posted by
feixiaolin
at 2013-10-08 19:22:42
变量代换,取y=(Ux-Ur)/a, 可以啦。
谢谢回复。
其中ux,ur, 都是关于x的方程。
那代换后咋处理呢?我也没发现关于e的二阶微分方程啊。
赞
一下
回复此楼
3楼
2013-10-09 07:23:01
已阅
回复此楼
关注TA
给TA发消息
送TA红花
TA的回帖
shuqi0521
铁虫
(小有名气)
应助: 0
(幼儿园)
金币: 2262.7
散金: 47
帖子: 159
在线: 317.8小时
虫号: 2359171
注册: 2013-03-19
专业: 地下空间工程
上式:Ux,Ur,为x的变量,其余的都是常数。
赞
一下
回复此楼
4楼
2013-10-09 07:25:01
已阅
回复此楼
关注TA
给TA发消息
送TA红花
TA的回帖
查看全部 12 个回答
如果回帖内容含有宣传信息,请如实选中。否则帐号将被全论坛禁言
普通表情
龙
兔
虎
猫
百度网盘
|
360云盘
|
千易网盘
|
华为网盘
在新窗口页面中打开自己喜欢的网盘网站,将文件上传后,然后将下载链接复制到帖子内容中就可以了。
信息提示
关闭
请填处理意见
关闭
确定