版块导航
正在加载中...
客户端APP下载
论文辅导
申博辅导
登录
注册
帖子
帖子
用户
本版
应《网络安全法》要求,自2017年10月1日起,未进行实名认证将不得使用互联网跟帖服务。为保障您的帐号能够正常使用,请尽快对帐号进行手机号验证,感谢您的理解与支持!
24小时热门版块排行榜
>
论坛更新日志
(490)
>
虫友互识
(38)
>
导师招生
(14)
>
论文道贺祈福
(12)
>
休闲灌水
(9)
>
基金申请
(4)
>
招聘信息布告栏
(3)
>
考博
(3)
>
博后之家
(2)
>
硕博家园
(2)
>
论文投稿
(2)
>
晶体
(1)
>
外文书籍求助
(1)
>
教师之家
(1)
>
催化
(1)
>
找工作
(1)
小木虫论坛-学术科研互动平台
»
专业学科区
»
数学
»
基础数学
»
求一个公式的积分
6
1/1
返回列表
查看: 860 | 回复: 5
只看楼主
@他人
存档
新回复提醒
(忽略)
收藏
在APP中查看
水环境
铜虫
(初入文坛)
应助: 2
(幼儿园)
金币: 161.3
散金: 50
帖子: 50
在线: 154.5小时
虫号: 1113688
注册: 2010-10-04
专业: 环境工程
[
求助
]
求一个公式的积分
求yy''+(y')̇^2=ay的积分,谢谢
回复此楼
» 猜你喜欢
有时候真觉得大城市人没有县城人甚至个体户幸福
已经有9人回复
CSC & MSCA 博洛尼亚大学能源材料课题组博士/博士后招生|MSCA经费充足、排名优
已经有6人回复
天津大学招2026.09的博士生,欢迎大家推荐交流(博导是本人)
已经有4人回复
同年申请2项不同项目,第1个项目里不写第2个项目的信息,可以吗
已经有3人回复
退学或坚持读
已经有28人回复
面上项目申报
已经有3人回复
酰胺脱乙酰基
已经有9人回复
博士延得我,科研能力直往上蹿
已经有7人回复
面上基金申报没有其他的参与者成吗
已经有5人回复
遇见不省心的家人很难过
已经有22人回复
» 本主题相关价值贴推荐,对您同样有帮助:
求电阻热量公式
已经有8人回复
怎么找出lapack函数及函数的使用方法
已经有8人回复
求一个公式的推导过程。
已经有13人回复
求三角函数的最大值···
已经有7人回复
有个概率公式,有积分。用啥软件可以实现呢?
已经有7人回复
求助!!!我想要在fluent中针对一个面进行积分,那么UDF应该用什么宏函数?怎么用?
已经有5人回复
华师大版数学分析(第三版)第二型曲面积分 部分内容的混涩
已经有7人回复
求一个mathmetica的程序
已经有10人回复
我编的Simpson积分法fortran程序给不出结果,大侠们看看哪里出了问题?
已经有4人回复
【求助】matlab求解一个简单的积分(急!!!)
已经有7人回复
【求助】如何在Word里输入一个好看的积分符号?
已经有24人回复
【求助】一个二重积分问题【已解决】
已经有17人回复
【求助】只知道有限个函数值求积分
已经有10人回复
【求助】CASTEP计算介电常数公式中的一个疑问
已经有8人回复
【求助】复变函数中的分部积分公式是否成立
已经有8人回复
【求助】maple的一个积分问题
已经有8人回复
1楼
2013-08-14 15:09:13
已阅
回复此楼
关注TA
给TA发消息
送TA红花
TA的回帖
jevonszou
木虫
(职业作家)
应助: 80
(初中生)
金币: 4385.4
红花: 8
沙发: 4
帖子: 3697
在线: 841.5小时
虫号: 1469576
注册: 2011-10-31
性别: GG
专业: 金属结构材料
【答案】应助回帖
感谢参与,应助指数 +1
这个公式的积分?
不明白
这不是微分方程吗?
求解微分方程怎么较求公式的积分呢?
微分方程你参考一下书吧
赞
一下
回复此楼
2楼
2013-08-14 15:23:57
已阅
回复此楼
关注TA
给TA发消息
送TA红花
TA的回帖
B12050913
金虫
(小有名气)
应助: 10
(幼儿园)
金币: 1691.9
散金: 13
红花: 1
帖子: 221
在线: 48.3小时
虫号: 2499852
注册: 2013-06-07
性别: GG
专业: 机器人学及机器人技术
【答案】应助回帖
感谢参与,应助指数 +1
令 y'=p,则 y''= pdp/dy,
yp dp+(p^2-ay)dy=0,
利用积分因子可以算
[ 发自手机版 http://muchong.com/3g ]
赞
一下
回复此楼
3楼
2013-08-14 15:26:26
已阅
回复此楼
关注TA
给TA发消息
送TA红花
TA的回帖
zhangqi1989
金虫
(正式写手)
应助: 8
(幼儿园)
金币: 1178.9
散金: 60
红花: 1
帖子: 735
在线: 69.2小时
虫号: 1772944
注册: 2012-04-23
性别: GG
专业: 集成电路制造与封装
【答案】应助回帖
感谢参与,应助指数 +1
这是常微分方程:令y'=p,y''=dp/dx=(dp/dy)·(dy/dx)=pdp/dy;
原方程化简为pdp/dy+p^2/y=ay;
这里要a进行情况讨论,我只做a=0的情况,a不为0有点复杂:
当a=0时,化简为pdp/dy=-p^2/y,即dp/p=-dy/y,所以lnp=-lny+lnC1
py=C1,将p带人,即ydy/dx=C1,即ydy=C1dx,解得y^2=C1x+C2,C1,C2均为常数。
赞
一下
(1人)
回复此楼
4楼
2013-08-14 15:46:26
已阅
回复此楼
关注TA
给TA发消息
送TA红花
TA的回帖
pippi6
铁杆木虫
(著名写手)
工程和科学数值计算咨询
数学EPI: 6
应助: 413
(硕士)
贵宾: 0.002
金币: 7116.5
散金: 15
红花: 63
帖子: 1639
在线: 798.9小时
虫号: 2469437
注册: 2013-05-14
专业: 计算数学与科学工程计算
【答案】应助回帖
感谢参与,应助指数 +1
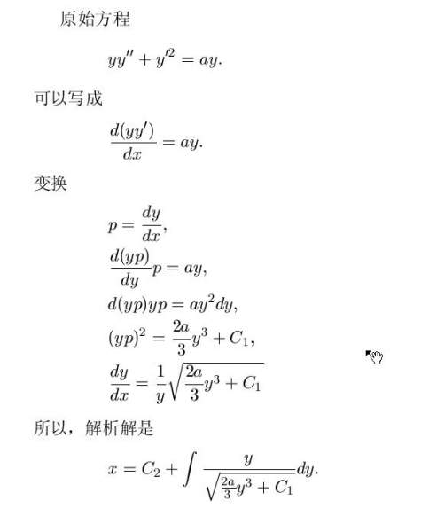
2楼和3楼的先期工作启发了我。我的解是这样的,但是最后的积分好像需要椭圆函数之类。
快照4.jpg
赞
一下
回复此楼
5楼
2013-08-14 20:04:17
已阅
回复此楼
关注TA
给TA发消息
送TA红花
TA的回帖
B12050913
金虫
(小有名气)
应助: 10
(幼儿园)
金币: 1691.9
散金: 13
红花: 1
帖子: 221
在线: 48.3小时
虫号: 2499852
注册: 2013-06-07
性别: GG
专业: 机器人学及机器人技术
【答案】应助回帖
积分因子为 y,变为
py^2 dp+p^2 y dy=ay^2 dy
d(1/2•p^2•y^2)=d(1/3•ay^3)
(py)^2=2/3•a•y^3+C
以下一致。
[ 发自手机版 http://muchong.com/3g ]
赞
一下
回复此楼
6楼
2013-08-15 09:33:29
已阅
回复此楼
关注TA
给TA发消息
送TA红花
TA的回帖
相关版块跳转
数理科学综合
机械
物理
数学
农林
食品
地学
能源
信息科学
土木建筑
航空航天
转基因
我要订阅楼主
水环境
的主题更新
6
1/1
返回列表
如果回帖内容含有宣传信息,请如实选中。否则帐号将被全论坛禁言
普通表情
龙
兔
虎
猫
百度网盘
|
360云盘
|
千易网盘
|
华为网盘
在新窗口页面中打开自己喜欢的网盘网站,将文件上传后,然后将下载链接复制到帖子内容中就可以了。
信息提示
关闭
请填处理意见
关闭
确定