版块导航
正在加载中...
客户端APP下载
论文辅导
申博辅导
登录
注册
帖子
帖子
用户
本版
应《网络安全法》要求,自2017年10月1日起,未进行实名认证将不得使用互联网跟帖服务。为保障您的帐号能够正常使用,请尽快对帐号进行手机号验证,感谢您的理解与支持!
24小时热门版块排行榜
>
论坛更新日志
(2380)
>
虫友互识
(88)
>
文献求助
(84)
>
导师招生
(83)
>
硕博家园
(37)
>
考博
(35)
>
教师之家
(31)
>
找工作
(26)
>
论文投稿
(25)
>
考研
(22)
>
论文道贺祈福
(21)
>
基金申请
(21)
>
休闲灌水
(20)
>
博后之家
(18)
>
公派出国
(18)
>
SciFinder/Reaxys
(9)
小木虫论坛-学术科研互动平台
»
专业学科区
»
数学
»
基础数学
»
关于一个有挑战性的定积分求解问题
11
1/1
返回列表
查看: 1399 | 回复: 10
只看楼主
@他人
存档
新回复提醒
(忽略)
收藏
在APP中查看
漫天雕
金虫
(正式写手)
应助: 18
(小学生)
金币: 1240.5
帖子: 311
在线: 151小时
虫号: 1561515
[交流]
关于一个有挑战性的定积分求解问题
这里有两个求定积分的问题,经验证,求解出其中一个,另一即可解决。不知哪位高手能给出其中任何一个几何的解析表达的积分结果。对感兴趣的高手给出结果者赠予50金币。
定积分.jpg
回复此楼
» 猜你喜欢
酰胺脱乙酰基
已经有8人回复
有70后还继续奋斗在职场上的吗?
已经有6人回复
博士延得我,科研能力直往上蹿
已经有7人回复
退学或坚持读
已经有27人回复
面上基金申报没有其他的参与者成吗
已经有5人回复
遇见不省心的家人很难过
已经有22人回复
多组分精馏求助
已经有6人回复
高级回复
» 本主题相关价值贴推荐,对您同样有帮助:
不定积分求解答!
已经有16人回复
希望大侠帮忙,求解下列定积分
已经有7人回复
求助一道定积分
已经有12人回复
求解一道不定积分
已经有8人回复
急切求助!一个mathematica求解一个简单一元非线性方程的问题
已经有4人回复
波谱基础比较差,不会接谱,求解一个有机谱图!谢谢!
已经有11人回复
一个不定积分的求法 都忘光了。。。。。
已经有17人回复
大学物理,静电学中的定积分问题!求高人指点!
已经有11人回复
求matlab求解一个方程组的问题
已经有6人回复
请教一个Mathematica积分的问题(重金求解)
已经有6人回复
MATLAB求解一个比较复杂的方程
已经有14人回复
求解一个latex引用文献问题
已经有3人回复
【求助】matlab求解一个简单的积分(急!!!)
已经有7人回复
【求助】想请教一个如何求解旋转矩阵的问题
已经有6人回复
【求助】一道不定积分..
已经有7人回复
【求助】如何解一个含定积分的方程组
已经有9人回复
【求助】求教定积分问题
已经有13人回复
【求助】请教1个定积分,如何计算,重金酬谢!!!
已经有19人回复
【求助】LMI求解-可行性解的问题
已经有18人回复
【求助】求解一不定积分【已搜无重复】
已经有15人回复
【求助】求解定积分
已经有12人回复
【求助】请教Matlab高手求定积分近似值问题
已经有4人回复
【求助】一个经典的数模问题求解!!!!急
已经有7人回复
【求助】一个求解反函数的问题
已经有9人回复
» 抢金币啦!回帖就可以得到:
查看全部散金贴
多功能 电子微生物生长分析仪 及 微生物快检技术开发服务
+
2
/144
中国科学院深圳先进技术研究院——招聘博士后
+
3
/128
Postdoctoral Research Fellow Position in Causal Inference Weill CorneIl Medicine
+
1
/92
坐标浙江宁波,诚征女友
+
1
/68
电力全国重点实验室双一流A类长江学者团队招2026年全日制博士1-2名/博士后
+
2
/58
香港科技大学计算物理及流体力学课题组招收全奖博士后及博士生(2026年9月入学)
+
1
/41
南方科技大学物理系夏秀杨课题组招收博士生/博士后 计算与理论软物质/生物物理方向
+
1
/38
上海市“光探测材料与器件”工程技术研究中心(上海应用技术大学)招聘优秀研究人员
+
1
/28
山东科技大学招聘化学化工博士博士后
+
1
/26
苏州大学招收申请考核制博士生、博士后(2026)
+
1
/21
中国科学院深圳先进技术研究院——招聘客座研究生
+
3
/16
德国Karlsruhe Institute of Technology招收电化学储能及联合培养CSC博士
+
1
/13
中科院深圳先进院-免疫治疗方向-招收1名博士生(26年9月入学)
+
1
/10
上海理工顾敏院士/李蔚团队招收2026级博士研究生 (集成光学、量子信息方向)
+
1
/8
武汉理工大学数学与统计学院张秀军教授课题组招收2026级秋季博士研究生
+
1
/6
哈工大(深圳)物理招收2026年9月入学博士生1个名额
+
1
/5
【博士招生】哈工大(深圳)智能学部机器人与先进制造学院 陆文杰老师课题组
+
1
/4
2026年博士申请考核+福州大学+管理科学与工程
+
1
/4
【博士后/科研助理招聘-北京理工大学-集成电路与电子学院-国家杰青团队】
+
1
/3
海南大学化学院—功能分子器件团队2026博士/研究助理招生+博士后招聘
+
1
/3
1楼
2013-05-14 23:29:12
已阅
回复此楼
关注TA
给TA发消息
送TA红花
TA的回帖
回帖支持 ( 显示支持度最高的前 50 名 )
zhengyongyb
金虫
(正式写手)
应助: 44
(小学生)
金币: 179.6
帖子: 349
在线: 144.8小时
虫号: 1187369
★ ★ ★ ★ ★ ★ ★ ★ ★ ★ ★
小木虫: 金币+0.5, 给个红包,谢谢回帖
漫天雕: 金币+10, 思路很清晰,谢谢!
2013-05-15 22:53:33
In(bx)=Inb+Inx
于是写作两个积分之和,Inb部分很容易求,
而含Inx部分注意到可以表示成附图的形式,也可以求
1561515_1368545658_558.jpg
赞
一下
(1人)
回复此楼
3楼
2013-05-15 00:45:14
已阅
回复此楼
关注TA
给TA发消息
送TA红花
TA的回帖
yumoym
至尊木虫
(文坛精英)
应助: 46
(小学生)
金币: 26102
帖子: 21537
在线: 489小时
虫号: 2071349
★ ★ ★ ★ ★ ★ ★ ★ ★ ★ ★
小木虫: 金币+0.5, 给个红包,谢谢回帖
漫天雕: 金币+10, 感谢高手的求解!
2013-05-15 22:52:56
内容已删除
赞
一下
(1人)
回复此楼
4楼
2013-05-15 15:28:14
已阅
回复此楼
关注TA
给TA发消息
送TA红花
TA的回帖
yumoym
至尊木虫
(文坛精英)
应助: 46
(小学生)
金币: 26102
帖子: 21537
在线: 489小时
虫号: 2071349
★
小木虫: 金币+0.5, 给个红包,谢谢回帖
引用回帖:
6楼
:
Originally posted by
漫天雕
at 2013-05-15 23:13:47
非常感谢您的热心回复!由于小木虫系统限制,只能给您发了最高上限的10枚金币,不好意思。
我按照二楼的思路推导所得结果与您给出的结果一致。对于您的解答,我目前还存在两个疑问:
(1)解答中的不等式如何得到 ...
1) 当x趋于无穷时,x^aln(bx)<e^(x/2),因而不等式成立.
2) b=1时,A(1)=0+C,有C=A(1).
赞
一下
(1人)
回复此楼
7楼
2013-05-16 07:56:55
已阅
回复此楼
关注TA
给TA发消息
送TA红花
TA的回帖
普通回帖
gzl9901
铁杆木虫
(文坛精英)
应助: 3
(幼儿园)
金币: 6279.5
帖子: 11263
在线: 1769.2小时
虫号: 1294464
祝福,祝福,一切顺利!
回复此楼
2楼
2013-05-15 00:31:47
已阅
回复此楼
关注TA
给TA发消息
送TA红花
TA的回帖
漫天雕
金虫
(正式写手)
应助: 18
(小学生)
金币: 1240.5
帖子: 311
在线: 151小时
虫号: 1561515
引用回帖:
3楼
:
Originally posted by
zhengyongyb
at 2013-05-15 00:45:14
In(bx)=Inb+Inx
于是写作两个积分之和,Inb部分很容易求,
而含Inx部分注意到可以表示成附图的形式,也可以求
1561515_1368545658_558.jpg
...
感谢高手,该方法思路很清晰!由于小木虫系统限制,只能发给最高上限的10枚金币,不好意思!再次感谢高手的不吝赐教!
赞
一下
回复此楼
5楼
2013-05-15 22:58:15
已阅
回复此楼
关注TA
给TA发消息
送TA红花
TA的回帖
漫天雕
金虫
(正式写手)
应助: 18
(小学生)
金币: 1240.5
帖子: 311
在线: 151小时
虫号: 1561515
引用回帖:
4楼
:
Originally posted by
yumoym
at 2013-05-15 15:28:14
见图片.
QQ截图20130515152710.png
非常感谢您的热心回复!由于小木虫系统限制,只能给您发了最高上限的10枚金币,不好意思。
我按照二楼的思路推导所得结果与您给出的结果一致。对于您的解答,我目前还存在两个疑问:
(1)解答中的不等式如何得到?
(2)常数C的求解为什么是A(1),而不是A(2)、A(3)......?
还望您不吝赐教!
赞
一下
回复此楼
6楼
2013-05-15 23:13:47
已阅
回复此楼
关注TA
给TA发消息
送TA红花
TA的回帖
jiqingmeng
金虫
(正式写手)
应助: 4
(幼儿园)
金币: 1215.9
帖子: 614
在线: 20.8小时
虫号: 1481074
送祝福,送祝福,,,,,,,,送祝福,,送祝福。。。。。。。祝福多多,满意多多。。。
赞
一下
回复此楼
8楼
2013-05-16 08:35:17
已阅
回复此楼
关注TA
给TA发消息
送TA红花
TA的回帖
水之源
至尊木虫
(著名写手)
应助: 13
(小学生)
金币: 15396.3
帖子: 2440
在线: 430.9小时
虫号: 434931
★
小木虫: 金币+0.5, 给个红包,谢谢回帖
好久没看过。都忘了
赞
一下
回复此楼
9楼
2013-05-16 09:19:00
已阅
回复此楼
关注TA
给TA发消息
送TA红花
TA的回帖
漫天雕
金虫
(正式写手)
应助: 18
(小学生)
金币: 1240.5
帖子: 311
在线: 151小时
虫号: 1561515
引用回帖:
7楼
:
Originally posted by
yumoym
at 2013-05-16 07:56:55
1) 当x趋于无穷时,x^aln(bx)<e^(x/2),因而不等式成立.
2) b=1时,A(1)=0+C,有C=A(1)....
好的,谢谢指导。
回复此楼
10楼
2013-05-16 23:08:40
已阅
回复此楼
关注TA
给TA发消息
送TA红花
TA的回帖
漫天雕
金虫
(正式写手)
应助: 18
(小学生)
金币: 1240.5
帖子: 311
在线: 151小时
虫号: 1561515
还有一个延续的问题向感兴趣的高手请教。
问题描述:在前面给出的要求的积分式中a>0,若改为a<0,积分式能否得到解析的结果?
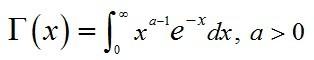
自己的分析:当a>0时,可按照二楼和三楼的思路求解,其中用到了gamma函数的定义,即
http://jj.muchong.com/image1/3e/c4/1561515_1368718195_432.jpg
若a<0,就无法利用该函数的定义,此时若能求解出下式即可解决问题:
哪位高手能够指点迷津!
Gamma function.jpg
Unknown.jpg
赞
一下
回复此楼
11楼
2013-05-16 23:26:56
已阅
回复此楼
关注TA
给TA发消息
送TA红花
TA的回帖
相关版块跳转
数理科学综合
机械
物理
数学
农林
食品
地学
能源
信息科学
土木建筑
航空航天
转基因
我要订阅楼主
漫天雕
的主题更新
11
1/1
返回列表
如果回帖内容含有宣传信息,请如实选中。否则帐号将被全论坛禁言
普通表情
龙
兔
虎
猫
高级回复
(可上传附件)
百度网盘
|
360云盘
|
千易网盘
|
华为网盘
在新窗口页面中打开自己喜欢的网盘网站,将文件上传后,然后将下载链接复制到帖子内容中就可以了。
信息提示
关闭
请填处理意见
关闭
确定