| 查看: 2336 | 回复: 23 | |
lixingmin.金虫 (著名写手)
|
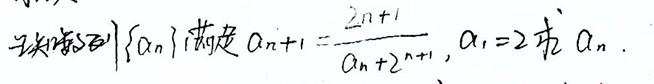
[求助]
20金币一道数学题
|
|
|
|
| 回帖支持 ( 显示支持度最高的前 50 名 ) | |
newton19722005金虫 (小有名气)
|
|
|
10楼2013-05-13 14:09:35
|
|
|
6楼2013-05-13 09:52:26
|
|
newton19722005金虫 (小有名气)
|
|
|
9楼2013-05-13 14:05:59
|
|
zhengyongyb金虫 (正式写手)
|
|
|
20楼2013-05-22 18:43:43
|
|
| 普通回帖 | |
jiangronglu铁杆木虫 (著名写手)
|
|
![]() |
|
|
2楼2013-05-12 18:46:23
|
|
lixingmin.金虫 (著名写手)
|
|
|
3楼2013-05-12 19:00:59
|
|
人走茶不凉银虫 (职业作家)
|
|
|
4楼2013-05-13 01:12:27
|
|
长大的不大铜虫 (小有名气)
|
|
![]() |
|
|
5楼2013-05-13 09:12:29
|
|
liantian1986铁虫 (正式写手)
|
|
![]() |
|
|
7楼2013-05-13 11:29:54
|
|
|
8楼2013-05-13 13:26:58
|
|













回复此楼

